度量業務流程績效是 BPR (Business Process Reengineering) 的一個重要內容。在BPR戰略決策階段,要對各種重構方案下的業務流程績效作出評估以便挑選出最好的方案進行實施。實施BPR過程中需要比較不同時段業務流程的績效以便識別出營運情況最好的時期,并將其作為以后實踐的參考標準以對業務流程進行連續改進。流程績效的評估是通過度量其績效指標 (如顧客滿意度、營運周期、成本和柔性等) 來進行的。人們一般對單個指標分別進行評估,然后進行定性的綜合獲得關于流程績效的認識,很少同時考慮多個指標的綜合評估。實際上,業務流程營運的績效不能只用某一個指標來衡量,如果某一業務流程的成本低,但缺乏柔性且服務不佳,那么這個流程的最終績效也不可能好,因此必須綜合評估業務流程的各個指標才能正確評價一個業務流程的營運情況。一個業務流程由一組邏輯相關的活動組成,它接受來自流程外的輸入 (如物料、信息等),并利用組織資源 (人員、設備) 將其轉換成產品或服務提供給顧客。一個復雜流程的綜合評估是具有多個輸入與多個輸出的業務流程評估問題,只依靠定性方法已不能解決問題。本文提出了用數據包絡分析 (Data Envelopment Analysis,DEA) 解決業務流程績效綜合評估問題的方法。
1 數據包絡分析
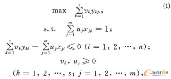
DEA是一個分數規劃模型,用于評估同類決策單元的相對效率,每個單元都有多個輸入和輸出,其中,效率被定義為輸出與輸入的加權比率。假定有n個決策單元,每一個單元有m個輸入和s個輸出,則特定單元p的相對效率。
式中,ykp 和 xjp 分別為單元p的第k個輸出值和第j個輸入值;vk和uj分別為權系數(k=1, 2,..., s;j=1, 2, ..., m),通過求解下列線性規劃問題求得。
式中,p為要評估的決策單元;yki 和xji 分別為第i個單元的第k個輸出值和第j個輸入值。為求得每個決策單元的相對效率,要求解上述規劃問題n次。若Qpp=1,則表明決策單元p是有效的;若Qpp<1,則為無效。
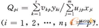
為了進一步評估幾個決策單元之間的相對效率,可利用交叉效率 (crossefficiency)的概念。一個決策單元的交叉效率是指用另一個單元的最優輸入和輸出權系數 (通過求解式 (1) 得出) 計算出的效率值。假定單元p的最優權系數為 v1p, v2p,..., vsp 和 u1p, u2p, ..., ump,則單元i相對單元p的交叉效率為:
因此每個決策單元都有n-1個交叉效率,將其表示成矩陣形式 Q=(Qij)n×n,式中Qij表示用第i個單元的最優權系數計算出的第j個單元的相對效率。每個單元的平均值Qi的大小反映了決策單元i相對效率的高低,Qi值越大說明單元的性能越好。
按照式 (1) 求得的最優權系數不一定是唯一的,因此,本文利用Doyle和Gree提出的改進算法來計算決策單元的交叉效率。
2 DEA在評估業務流程性能和選擇重構方案中的應用
假定一個業務流程實施重構有幾種方案,則DEA可用于評估各種方案下業務流程的相對績效以選擇績效最好的方案。在這里將每一種重構方案下的業務流程作為一個“決策單元”,它具有多個輸入和輸出。評估的基本步驟如下。
a. 確定每一種方案下重構后的新流程,并詳細描述新流程。
b. 收集業務流程的輸入、輸出數據。一般而言,一個業務流程有多個輸入、輸出,各個流程共有的而且相同的那些數據項不必列入計算,應當收集主要的輸入、輸出數據項,如活動數、某一時段內的成本、營運該流程所需的人數、使用的設備數等可作為流程的輸入,而流程時間、質量、顧客滿意度、人力資源利用率等作為輸出。需要強調的是,在DEA中,輸出值越大意味著結果越好,因此對違反這一假定的數據應進行轉換 (一般進行倒數轉換),比如流程時間越大則結果越差,因此要對其進行轉換,取流程時間的倒數作為輸出值。
c. 由式 (1) 求解各流程的相對效率Qpp。
d. 由Doyle和Gree提出的改進算法求解各流程的交叉效率并求出交叉效率矩陣。
e. 計算各流程的交叉效率平均值Qi (i=1, 2, ..., n),平均值最大的流程即為相對效率最好的流程,其所對應的方案應為首選方案。
3 DEA中的滑動窗口分析與業務流程改進
DEA中的滑動窗口分析用于評估同一決策單元在不同時間段內的相對效率,它將每一時間段內的同一決策單元當作不同的單元來處理。滑動窗口分析首先要確定窗口內包含的時間段數 (即窗口的長度) 和每個時間段的長度,然后收集每個時間段內決策單元的輸入輸出值并用于評估其相對效率。滑動窗口分析能動態地評估一個單元的相對效率,監控其績效,為管理者決策提供依據。在傳統滑動窗口分析中,窗口每滑動一次就將最早的一個時段從窗口中去掉,而增加一個新時段,這種方法的缺陷是去掉的時段有可能是相對效率最高的時段,從而導致在新窗口的評估中可能會高估新時段的效率。為克服這一缺陷,S.Talluri 等提出了一種改進方法,即窗口每滑動一次將相對效率最低的時段從窗口中去掉以保證更客觀地進行新一輪的評估。
人們普遍認識到,一個業務流程實施重構后應不斷地監測其績效指標以便進一步對其實施連續改進。改進的滑動窗口分析法能有效地用于評估重構后的業務流程的營運績效。通過評估各個時間段內業務流程營運的相對效率選出相對效率最高的時段,并以該時段內業務流程的營運為基準制定未來實施改進的方案。時段的長度可為1個月、2個月或半年,視具體情況而定。滑動窗口的長度一般為5~6個時間段。在DEA的滑動窗口分析中,應盡可能多地收集各個時段內業務流程的關鍵輸入、輸出數據,以便更全面、更合理地對業務流程營運績效進行評估,真正評估出營運效率最好的時間段,為制定連續改進方案提供依據。
4 一個實例
下面給出一個實例來說明DEA的具體應用。某企業的訂單完成流程由二十幾個活動構成,涉及銷售、財務、計劃、采購、車間和倉庫六個部門,流程范圍廣,內容復雜,參與營運的人員也多,是企業的一個核心流程。為徹底改善該流程的營運效率,企業決定對其實施重構,重構后的流程由17個活動構成,并由專門的小組負責營運。在新流程的營運過程中每月進行一次評估,并提出改進方案以不斷地實施對新流程的改進。現利用DEA對每個月流程營運的相對效率進行評估,以提供制定改進方案的依據。每個月的流程作為一個“決策單元”,用于窗口分析的窗口長度為6個月,窗口滾動長度為一個月。有關數據按月進行收集、整理,收集的數據如下。
流程輸入數據;
成本C,系月平均成本;
業務活動數 N(因實施改進,不同時間段的活動數會有變化);
人數n,即參與營運的員工數;
流程輸出數據;
流程平均時間 T,指訂單在流程中運轉的平均時間;
訂單等待處理的次數M;
人力資源平均利用率P。
其中流程平均時間和訂單等待處理的次數需要進行轉換,均取其倒數進行DEA計算。表1為每個月訂單完成流程的輸入輸出數據。
表 1 用于DEA的流程數據

表 2 各時間段流程的相對效率
根據公式 (1) 求得各個時間段的相對效率,見表 2從表 2 可以看出,在P2,P4,P5和 P6 四個時間段中,流程營運的效率都較好,但無法從中挑選出最好的一個月,因此需要進一步由 Doyle 和 Gree 的改進算法計算出交叉效率矩陣 (見表 3)。
表 3 各時間段流程的交叉效率矩陣
從表 3 可以看出,第6個月流程營運的相對效率最好,而第4個月的相對效率最差,因此,應以第6個月流程的營運情況為基準制定下個月流程的營運方案。進行新一輪評估時將P4從窗口中去掉而增加下一個月的數據進行評估,依此類推進行滾動評估,就這樣始終為流程的連續改進提供決策依據。所以說,DEA作為一種決策工具,無論在BPR戰略決策階段 (方案評估) 還是在BPR實施過程 (業務流程連續改進) 中都具有重要作用。
核心關注:拓步ERP系統平臺是覆蓋了眾多的業務領域、行業應用,蘊涵了豐富的ERP管理思想,集成了ERP軟件業務管理理念,功能涉及供應鏈、成本、制造、CRM、HR等眾多業務領域的管理,全面涵蓋了企業關注ERP管理系統的核心領域,是眾多中小企業信息化建設首選的ERP管理軟件信賴品牌。
轉載請注明出處:拓步ERP資訊網http://m.sdyuan.com/
本文標題:業務流程績效綜合評估的DEA方法
























