從20世紀90年代至今,ERP技術得到了迅猛的發展,其在企業管理中所發揮的重要作用也被越來越多的企業所認識。當前國外眾多企業應用了ERP軟件,并取得了較好的應用效果,促進了企業的革新和發展。近些年來,我國的許多企業也開始進行ERP項目的研究與應用,但總體來說,其應用效果卻不盡人意,其中一個重要的原因就是在ERP軟件選型過程中的不當操作或缺乏可靠有效的理論作為指導。對于企業的決策者來說,ERP軟件系統的選型,即選擇適合企業戰略發展及企業特定需求的ERP軟件系統,一直是個令人困惑的問題。因而,為保證企業ERP系統的成功實施,充分發揮出其應有的功能和作用,達到企業實施ERP系統的戰略目標,必須對ERP軟件系統選型決策方法進行廣泛深入的理論研究和實踐工作。本文正是基于上述思想,以熵和可拓理論為基礎,建立了一種ERP軟件系統選型的評價模型,應用該模型對備選ERP軟件進行一系列的指標分析,并將分析所得到的量化結果進行排序,從而幫助企業進行ERP軟件系統的選型,為企業的決策提供可靠的理論依據。
1 熵權的計算方法
熵是利用概率理論來衡量信息不確定性的一種測度。熵權法的基本思想是:權重系數是各個指標在指標總體中的變化程度和對其他指標影響程度的度量,賦權的原始信息應當直接來源于客觀環境,可根據各指標所提供的信息量來決定相應指標的權重系數。
設評價系統有m個評價對象、n個評價指標,形成原始指標數據矩陣Y=(yij)m×n。當各被評價對象在指標上的值完全相同時,熵權為0,該指標不能提供有用信息。熵權較大時,說明該指標向決策者提供了較多的有用信息,同時還說明在該問題中,各對象在該指標上有明顯差異,應重點考察。因此。可以根據各個指標值的變異程度,利用信息熵這一工具,計算各指標的權重。其計算步驟為:首先將各指標值進行規范化處理,指標數據矩陣Y=(yij)m×n。轉換成為決策矩陣X=(xij)m×n,則第j個評價指標的熵定義為:

2 基于熵權的ERP選型可拓展綜合評價模型
可拓綜合評價的基本思想是:根據ERP選型過程中積累的數據資料,把評價對象劃分為若干等級,由專家意見給出各等級物元的特征數據范圍,再將評價對象的指標值帶入各等級的物元中進行多指標評定,評定結果按它與各等級物元的綜合關聯度大小進行比較,綜合關聯度越大,就說明評價對象與該等級的符合程度越佳,即評價對象屬于該等級。可拓綜合評價過程如下:
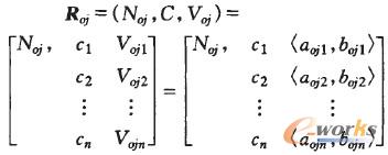
a.確定經典域Roj與節域RD,令

式中:Roj表示所劃分的第j個安全性等級;ci為Roj的評價指標;Vojt為Noj關于特征ci的量值范圍,即各ERP軟件等級相應的指標所取的數據范圍,該范圍為一經典域。

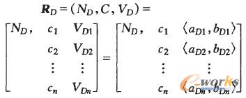
式中:ND為全體等級;VDi為ND關于ci所取量值的范圍,即ND的節域。
b.確定待評物元。
對第i個評價對象pi,把所測量得到的數據或分析結果用物元表示,稱為評價對象的待評物元。
該物元可描述如下:

式中:Vij為Ni關于特征ci(j=1,2,...,n)的量值,即評價對象的評價指標值。
c.采用熵權法確定指標權重ωj。由上述計算模型求取ωj。
d.建立關聯函數,確定評價對象關于各評價等級的關聯度。
在物元評價中,關聯函數表示物元的量值取為實軸上的一點上時,物元符合要求的取值范圍。若Voji = < a , b >,VDi= < c , d >

3 基于熵權的可拓評價法在ERP選型決策中的應用
3.1 ERP選型決策指標體系
企業ERP的選型是一項復雜的系統工程,將會直接影響企業ERP實施的效果。有關企業ERP系統選型決策指標體系,許多學者進行了大量研究,建立了各有側重又有很多共性的選型決策指標體系。本文通過總結,綜合分析影響ERP系統選型的各種因素,將ERP系統選型中需要考慮的指標分為11個方面,從而構建了如圖1所示的ERP選型決策評價指標體系。

圖1 ERP選型決策指標體系
3.2 確定經典域和節域
a.確定經典域和節域。
將ERP選型結果劃分為4個等級,即優秀、好、一般、差。
根據ERP選型的實際情況,各等級物元的經典域分別為:


節域物元為:

b.確定待評價物元。

本文選取4個ERP軟件產品為待評價對象,各評價對象組成的待評物元數據見表1。
表1 待評物元原始數據

c.確定熵權。
在ERP選型決策過程中,各個指標所起的作用是不同的。因此,為了評價的客觀性,通常需要給不同的評價指標賦予權重。根據前文所述的熵權法進行計算,可得到ERP選型決策各指標的決策向量為:
α=(α1,α2,α3,α4,α5,α6,α7,α8,α9,α10,α11)=(0.078,0.079,0.158,0.127,0.070,0.092,0.088,0.065,0.080,0.076,0.087)
d.按照式(3)可計算出關聯函數Kj(vki)。
ERP選型決策方案A,B,C和D的關聯函數計算結果見表2。
表2 ERP決策方案的關聯函數

e.隸屬度計算與評價結果。
綜合關聯度的大小表示待評方案與該等級的符合程度,數值越大,則待評方案與該等級的隸屬程度越佳。按照式(5)計算隸屬度,依據結果對ERP選型決策方案進行評價分類,結果見表3。
從表3的決策分析結果可以看出,ERP選型決策方案A,B,C及D的評價結果分別為良、中、中、中,因此A為最佳方案。
表3 ERP選型決策方案的隸屬程度與決策結果

4 結束語
ERP選型決策評價是一項復雜的工作,應當從多個指標對其進行綜合、科學、客觀地量化,能否保證各指標的科學性和可行性是評價成功與否的關鍵。
利用基于熵權的可拓評價法可以建立多指標性能參數的ERP選型影響評定模型,將評價中多參數因子目標評價歸結為單目標決策,實現評定結果的定量化,能較完整地反映ERP選型決策的綜合水平。
基于熵權的ERP選型可拓綜合評價是可拓理論在ERP選型決策中的應用,是全新的ERP選型評價方法,是對ERP選型決策方法的新發展。筆者熵理論確定了熵權系數,從而避免目前權系數確定的主觀性或計算復雜性。利用綜合關聯度作為評價準則,避免了評價模型的主觀性。
通過對ERP選型決策方案的綜合評價可以看出,運用可拓理論對方案進行評價,與其他評價方法相比具有操作簡單、可靠性高、實用性強等特點。在具體評價過程中,可以通過修正權重系數,調整經典域范圍,融入專家經驗來優化評價方案。這不僅拓展了可拓學的應用領域,而且提出了一種新的ERP選型決策方法,為ERP選型決策提供了新的思路和手段。
轉載請注明出處:拓步ERP資訊網http://m.sdyuan.com/
本文標題:基于可拓理論的ERP軟件選型決策方法研究
























