引言
全球經濟下,我國以勞力資源優勢成為第一制造大國,出現大批中小企業。供應鏈背景下,該類企業具有一定共性。首先,在國際分工中,企業扮演供應商角色,且有等級之分。其次,供應鏈管理中,該類企業處于被支配地位,越是處于多級,企業的自由度越小。最后,企業重生產,結構簡單,管理較粗曠。此類企業有信息化需求:一是隨著發展,企業形成一定規模,原有簡單管理已不適用;二是鏈式合作下,市場對響應速度提出要求,為緊密與上下游的協同關系,信息化是必須手段。自MRP、ERP 產品出現,ERP 以其管理綜合性在眾多工具中占據相當優勢。中小企業對ERP建設的熱情高漲,在管理軟件的目標市場中,中小企業占據了70%的市場份額。但是,ERP在中小企業中實施并不理想,主要有系統選型與實施過程失控兩個原因。作為第一步,選擇合適的系統至關重要,本文將結合供應鏈背景,對中小電子制造企業的ERP選型進行討論。
供應鏈上中小電子企業的特點及選型要點
(一)供應鏈上中小電子企業的特點
供應鏈背景下,電子行業具有以下特點:產品方面:品種多;產品生命周期較短;質量控制嚴格。訂單方面:訂單多,訂單量小;交期短,急單多,插單頻繁;變更訂單現象較普遍,如訂單取消、數量更改、交貨日期變更等。物料/庫存方面:原材料種類多,且同種材料有不同規格之分。除公用材料、特殊材料,電子業還涉及到委外加工部分,增加庫存管理難度;部分存在單位統一問題,例如膠帶,采購以“卷”為單位,但生產中卻以“米”為單位;物料齊套性常成為生產瓶頸。采購方面:訂單較多,公用材料的需求量和消耗量難以統計;材料采購周期較長;材料需求難以預測。生產方面:多品種小批量的同時產,工程變更頻繁;生產模式混合,在客戶跟供應商的共同牽制下,企業很難單純地面向訂單或是面向庫存生產;訂單的變動導致生產計劃難以安排。供應鏈方面:鏈式的合作,對企業的響應速度、物流成本提出一定要求;由于沒主導力,企業需要迎合大企業需求,如客戶延遲收貨,占用中小企業的庫存。
(二)供應鏈上中小電子企業的選型要點
作為節點的中小企業缺乏主導能力,對系統使用和流程改善均有影響。在系統使用方面,要注意上下游企業接口問題。例如,客戶要求供應商送貨時進客戶系統打印單據,出貨時,如何把供應商的出貨信息傳入到客戶系統,是兩個企業間系統銜接的問題。在流程改善方面,基于供應鏈的背景,企業必須重視貿易伙伴間的電子商務流程,如何將內部流程改善并外延融入到供應鏈至關重要。結合供應鏈背景,中小電子企業在ERP 選型時,需要關注以下方面:
第一,產品功能:功能模塊能否滿足企業需求。系統要完善企業的進銷存管理,減少人為管理,實現資源有效共享,并提供相關分析報表,使管理者及時掌握企業的運營情況;企業是否使用其他外掛系統,如條碼系統,不同系統的接口問題能否解決;產品升級及將來系統轉移是否方便。
第二,實施能力:企業可以通過演示方案及成功案例等方面對服務商進行篩選。一個可行的實施方案,是支撐整個實施的關鍵,既包括實施目標、計劃等,又包括流程的優化方案。
關于目標,企業需要從實際需求出發,判斷服務商的實施目標是否合理。
流程優化/業務流程重組。ERP的應用,不僅僅是軟件的使用,使企業的日常經營活動自動化,其更重要的是對企業傳統的經營方式的根本性變革,使其更加合理化、科學化,是從流程這一企業最基礎層面進行“根本性改變”來增強企業的應變能力和競爭能力(李愛軍,2010)。流程重組,是系統實施的核心。結合供應鏈以及電子行業的特點,需要注意以下方面:一是要服從供應鏈的運作,尤其是電子行業,訂單變更或插單情況無法避免。服務商必須提供相關方案,實現訂單有效管理,同時解決由訂單變更引起的采購、生產等問題。二是在物料管理方面,電子行業要實現物料編碼、統一物料單位、齊全產品結構。系統必須保證庫存數據的準確性并設立庫存預警,解決配料缺料問題。三是在采購環節,方案必須確定采購模式,是按訂單采購還是合并采購。同時,方案必須解決如何預測物料需求,如何確認每次采購數量、時間等問題。四是關于企業的生產,方案需要關注如何利用系統得出合理的生產計劃,訂單變更或是插單情況下,生產計劃如何調整,提高出貨準時率等內容。五是流程再造需考慮到供應鏈背景,一方面企業內部流程的改善,將非增值流去掉;另一方面需要將內部流程外延到前后企業。流程的優化方案,是評價服務商實施能力的重點,公司可以此來篩選咨詢公司。
第三,成本效益:ERP的實施,需要花費大量時間跟資金。中小企業選型時的成本效益分析尤其關鍵。實施成本包括硬件費用、軟件費用、培訓費用、咨詢費用以及維護費用等。硬件費用、軟件費用容易確定,而其他費用則要看實施的實際情況。選型階段,企業需要與服務商商定好培訓、咨詢及維護費用,費用按照目標完成情況支付。同樣,效益分析也是期初基于實施目標得出。企業一方面要權衡投入和收益,另一方面要根據預算選擇產品/服務。
第四,其他因素:一是風險因素:系統實施幾乎牽涉企業所有的關鍵部門,一旦實施失敗,后果嚴重。因此,風險預測也是選型階段需要關注的一個方面。風險的存在包括人力、物力、資金、時間的浪費;原業務流程的破壞,對客戶、供應商的影響;失敗的新流程可能比原流程存在更多問題;不合理的新流程會招致職員的不滿;項目負責人信心遭受打擊等。二是產品的成熟度、安全性,系統人性化程度;三是售后支持,主要是咨詢培訓、二次開發、后期維護等;四是服務商的信譽口碑,合作程度等。
系統選型,需要從企業實際出發,確立目標體系,選取合適的ERP產品和服務。根據以上分析要點,可以得出中小電子企業選型需要考慮的主要因素:產品功能、實施能力、售后支持、實施成本、易用性、實施風險等。
(三)利用AHM方法選型
在選型模型方面,大多專家學者采用層次分析法(Analytic Hierarchy Process,AHP)。它是一種將半定性、半定量的問題轉化為定量計算的方法。這方法首先把復雜的決策系統層次化,然后通過逐層比較各種關聯因素的重要性程度建立模型判斷矩陣,并通過一套定量計算方法為決策提供依據。與AHP模型較為相近,屬性層次模型(Attribute Hierarchical Model,AHM)是一種無結構決策方法。AHP 基于重量模型,用特征值法求出測度排序,對判斷矩陣的一致性檢驗有嚴格要求,實際應用中很難滿足。而AHM基于球賽模型,對一致性要求很低,只要模型中的數據滿足:a>b,b>c,則a>c。該方法條件放寬很多,運算簡單,是一種簡單的決策方法,比較適合實際運用。ERP選型問題,屬于單目標多層次問題,本文以供應鏈上中小電子企業為對象,使用AHM法進行ERP選型的決策分析。AHM有三個步驟:建立遞階層次結構;構造判斷矩陣并計算相對權;計算方案對系統目標的合成權,以進行決策。
1.建立層次:最高層即目標層G,選取合適的ERP 系統;中間層為準則層,即影響企業選型的因素(上文分析得出六個因素);最低層是方案層,經過初步篩選后,可供選擇的ERP系統種類(假定有三種方案)(見圖1)。

圖1 系統選型的AHM決策模型
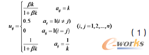
2.構造判斷矩陣。兩兩比較矩陣是專家或其他權威人士打分得出,根據Satty的1-9標度法,給出各目標下的判斷矩陣。此處,可由企業內部實施團隊、高層管理人員以及服務商共同打分得出。A=(aij)m×n,aij為目標g下,影響因素Pi與Pj的重要性比值,“1”表示兩者一樣重要,“3”表示Pi比Pj稍微重要,“5”表示Pi比Pj明顯重要,“7”表示Pi比Pj強烈重要,“9”表示Pi比Pj極端重要;且滿足aij ≥ 0,aji=1/aij(i,j=1,2,…,n)。
構造屬性判斷矩陣并計算相對屬性權。以最高層和中間層的每個元素為準則, 構造下一層元素的屬性判斷矩陣,并計算相對屬性權。以最高層為例,第一,通過公式將比例判斷矩陣轉換成屬性判斷矩陣U,其中uij表示相對屬性測度,計算公式如下:

公式(1)中,β通常取1或2,且uii=0,uij ≥ 0,uji ≥ 0,uij+uji=1,(i ≠ j)。
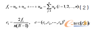
第二,基于球賽模型,計算ui 的得分fi以及得分率c,其中得分率組成相對屬性權向量w。

同理,中間層采取同樣方法構造屬性判斷矩陣并計算相對屬性權。最高層下的相對屬性權向量用Wg表示,每個準則層因素下,各個方案的重要性權重向量可用wci表示。單指標測度矩陣Wc=(wc1,wc2,…,wcn)。
3.計算方案對目標的合成權重。利用公式(4)計算方案對目標的合成權,由此確定各方案Pi對總目標的重要性。
W=Wc*Wg=(wc1,wc2,…,wcn)*Wg (4)
假設企業得出判斷矩陣如下:

此處,取β為1,得出矩陣U。在本例中,f1=3.942,f2=3.833,f3=2.833,f4=0.8751,f5=1.042,f6=1.975,進一步得出c1=0.2628,c2=0.2556,c3=0.1889,c4=0.05834,c5=0.1028,c6=0.1317,在總目標下準則層下各個因素的重要性權重向量為:Wg=(0.263,0.255,0.189,0.058,0.103,0.132)T。同理可以求得在每個準則層因素下,各個方案的重要性權重向量(過程略)。

以上合成權結果表明,在總目標下,優先次序為P1、P2、P3,因此企業應該選擇方案一。
結論
選型失敗是我國中小企業ERP實施失敗的一個重要因素,做好系統的選型,是企業更換系統時的首要任務。選型時,企業需要結合行業特點,分析自身需求,借助于服務商的力量選取合適的產品。電子行業具有產品周期短、品種多等特點,在供應鏈下,供需兩端(供應商、客戶)的不穩定,更加加重了中小電子企業業務流程的不穩定性。企業在選型時,需要從產品功能、實施方案等方面關注此類問題。
轉載請注明出處:拓步ERP資訊網http://m.sdyuan.com/
本文標題:供應鏈上中小電子企業ERP選型分析
























