上世紀70年代末我國開始引進西方的可行性研究方法,到1987年9月,國家計委正式頒布了《建設項目經濟評價方法與參數》,詳細規定了可行性研究中項目評價的指標、評價方法與參數,使我國的項目立項評估工作邁入科學化和規范化的軌道。從20世紀92年代以后,我國積極引進國外發達國家在投資項目評估方面的先進技術和經驗,逐步形成了包括財務評價、國民經濟評價、社會評價以及環境評價等內容的投資項目評估方法體系。
上述項目評估方法中存在的主要問題有:一是注重投資項目本身的投入和產出,而在項目對投資主體的戰略規劃方面很少考慮;二是缺乏對項目評估工作的系統考慮。例如將立項評估、進展評估、結果評估等內容如何組成一個綜合性的項目評估系統;三是把投資項目孤立出來考慮。實際上,投資項目與投資主體有著不可分割的經濟聯系,他們已有的經濟行為反過來影響著對投資項目的評估和決策。因此,現有的投資項目評價方法雖然從不同方面反映了投資項目本身所產生的影響和效果,主要反映了對國家、社會和環境的影響,卻沒有反映投資項目對企業(投資主體)發展戰略的影響,因而忽視了投資項目的戰略價值,甚至會因經濟評價結果不是最優而放棄那些實際上具有與企業發展戰略相匹配、高戰略價值和長期盈利潛力的投資項目。因此,本文將從作為投資主體的企業角度,討論投資項目對企業的發展戰略產生的影響以及如何評估和量化這種影響,并建立企業投資項目的戰略效益評估模型。
一、戰略效益評估指標
企業投資項目的戰略效益評估主要考慮投資項目對企業戰略的影響。假設考慮企業實施的戰略共有五種:投資發展戰略、人力資本戰略、技術創新戰略、企業文化戰略以及產品營銷戰略。從這五種戰略中選擇構成戰略效益評估參數的九項指標,具體描述如下:
(一)投資項目與企業投資戰略規劃的一致性
投資項目所屬行業是否與企業制定的投資發展規劃相一致或相類似。比如一個從事竹產品加工的企業,制定的投資發展規劃是以竹產品開發與加工銷售為主、竹資源種植以及加工設備制造為輔,在5-10年內成為行業內總產量前五名。顯然,投資項目如果不在上述行業范圍,則不利于企業在預定的時間內達到上述發展規劃的目標。因此,即使投資項目本身可行,對該企業而言,項目的戰略效益評估值也可能很低。
(二)項目經理的水平與能力
對企業而言,項目經理選擇分為兩個階段:項目建設階段和項目經營階段,前者可稱為項目施工經理,后者可稱為項目運營經理。兩者的選擇都對企業投資項目能否成功產生重要影響。尤其是項目建成后,企業是否具有合格、優秀的項目經理來管理,對投資項目收回投資和實現利潤更為重要,而該類人才的培養或引進,與企業既定的人力資本戰略(方向)是否吻合和一致,決定了企業實施人力資本戰略的成本,且這一成本可能具有長期影響。
(三)項目經營管理團隊建設
投資項目的成功,除了項目運營經理很重要之外,項目運營管理團隊與項目經理之間的團結和協作同樣影響著項目的實施,團隊建設的質量如何,團隊建設是否對企業整個人力資本戰略規劃造成影響或提供了支持也是很重要的。這是從企業人力資本戰略的角度對投資項目做出的戰略性評價。
(四)企業人力資本結構的影響
企業人力資本結構的合理優化,是企業實施人力資源戰略的長期目標。投資項目的實施勢必會在一定程度上改變企業的人力資本結構。比如某家具制造企業,其中層干部中家具與制造專業技術干部占到了90%以上,而管理類專業干部偏少,其結構本身就不合理。而擬投資項目屬于“家具用新型復合板”(全自動生產線),在戰略上屬于向家具產業鏈的上游發展,對企業十分有利,但該項目管理團隊主要需要自動化專業和化工專業的技術管理干部。從而項目實施的結果導致整個企業的中層干部結構更加不合理。因此該投資項目的戰略效益評估值應取較小值。
(五)對企業核心競爭力的作用
企業核心競爭力的要素主要有核心技術、核心資產和核心文化。投資項目對企業核心競爭力的影響和作用也主要從這三方面來衡量。如果擬投資項目實施后,可望形成具有獨立知識產權的核心技術,也有利于形成企業“自主創新”的核心文化,則該項目的評估值可取較高值。
(六)項目技術的發展潛力
如果擬投資的項目屬于技術創新類項目,在項目獲得成功后,形成的專有(專利)技術將具有較大的市場發展潛力,并有可能發展成具有市場競爭力的產業化技術。這對企業的技術創新戰略具有重要的積極影響。而這部分價值在現有的投資項目評估方法中并沒有包括進來。
(七)項目文化與企業文化的融合性
企業的文化建設已經越來越受到管理者的重視,在進行新的投資項目建設時,應考慮到新項目將要形成的企業文化背景,如果新項目蘊涵的文化與企業現存的文化( 理念、價值觀、目標與使命等)相沖突或不協調,則企業對不同文化的整合將很困難,即整合成本會很高。例如一個高新技術開發企業擬投資一個娛樂設施項目,盡管各項經濟指標評估結果均為可行,但對該高新技術企業來說,由于其文化背景的巨大差異,從長遠戰略考慮,將來在文化整合方面成本較高,因此其戰略效益評估值應取較低值。
(八)投資項目對企業品牌效應的貢獻
企業的品牌價值屬于無形資產,投資項目對該無形資產的貢獻和影響,可以作為一項戰略效益來評估。因為這種影響是無形和長期的。目前很多企業都把新投資項目的產品、標識、CI設計等納入原企業整體品牌塑造的戰略規劃之中,也是基于這一考慮的。
(九)項目對企業現有產品市場分額的影響
擬投資項目對企業現有產品所占市場分額的影響是復雜的,首先要分析項目產品與企業現有產品的關系,如果是同類產品,相對較容易;如果是相關產品,或者是互補、替代型產品,則對企業現有產品市場分額的影響,或者說對企業年經營效益的影響較難測算。但這一影響作為投資主體( 企業)來說,應該從企業整體上實際獲得的效益來綜合考慮。這也說明,對同一個項目,由不同企業來投資可能產生截然不同的影響。
以上指標主要從作為投資主體的企業角度來考察投資項目對企業產生“戰略效益”方面的影響,這些定性指標的評價取決于企業的現狀和專家的知識與經驗。
二、評估指標測度函數
上述定性指標的量化,首先采用同行專家評議法,對這些指標做出定性評價,然后根據以下建立的指標測度函數進行量化。
設戰略效益定性指標的變量個數為j,j=1,2,...,9;定性評估標準{μ0j,k}={好、較好、一般、較差、差};評估類型為k,k={1,2,...,5}。由指標變量與評估標準組成的測度函數矩陣形式為:

設戰略效益評估標準{μ0j,k}={9,7,5,3,1};其閾值向量ξj,r={ξj,1,ξj,2,ξj,3,ξj,4,}。向量{ξj,r}由下式來確定:

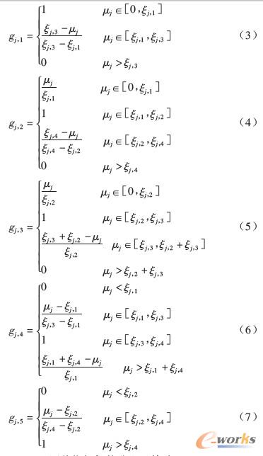
則戰略效益定性指標的測度函數gj,k可采用按評估標準區間表示的分段函數,其形式如下:

三、評估指標權的分配及檢驗
(一)指標量綱的標定權
計算公式為:
其中,λj,k=μ0j,k
(二)指標相關權
指標相關權Wj反映指標變量間的權重關系,是投資項目戰略效益評估的重要參數,為使這一權數能合理、充分的表征各指標變量間的關系,本文采用層次分析法來確定{Wj}。具體方法如下:
1. 構造判斷矩陣
設選擇的評估指標變量用uj,i來表示uj相對于ui的相對重要性(此處i,j均表示指標變量,m表示變量個數,即m=9),可通過同行專家評議確定。根據評議結果,可得判斷矩陣[P]如下:

2. 計算[P]矩陣每一行元素的乘積

3. 計算wj的m次方根

4. 歸一化處理

{wj}={w1,w2,...,wj}r為所求的特征向量,即指標相關系數。
5. 計算[P]矩陣的最大特征根λmax

其中vj表示向量V的第j個元素,由下式確定。

(三)一致性檢驗
根據式(12)求出的最大特征根所對應的特征向量{wj}反映了評估指標因素重要性的排序,但作為指標相關權,其權數分配是否合理,需要對判斷矩陣進行一致性檢驗,計算其隨機一致性比率CR來進行判斷。

其中:CR——判斷矩陣的隨機一致性比率;
CI——判斷矩陣的一般一致性指標;
RI——平均一致性指標,與樣本容量和判斷矩陣階數有關,可查表。
若CR<0.1,表明判斷矩陣具有可接受的一致性,從而證明權數分配是合理的;否則,即是判斷矩陣偏離一致性程度過大而需作進一步調整。
四、評估準則與結論
企業投資項目的戰略效益評估函數模型σs,k形式為:

式中:s——代表戰略效益評估方式。
設企業投資項目的戰略效益評估準則,根據戰略效益評估標準{μ0j,k}={好、較好、一般、較差、差};評估類型為={1,2,...,5}來確定,即戰略效益評估值在“一般”水平以上可認為項目對該企業是可行的。根據評估函數模型計算出戰略效益評估值后,由下式確定k:

則評估結論為:上式σs,k中,如果k=1,2,3,表示擬投資項目對該企業是可行的;如果k=4,5,則對該企業不可行。當然,企業也可結合自己的風險偏好程度來建立類似的戰略效益評估準則。
限于篇幅,企業投資項目的戰略效益評估模型應用案例研究擬另文討論。
核心關注:拓步ERP系統平臺是覆蓋了眾多的業務領域、行業應用,蘊涵了豐富的ERP管理思想,集成了ERP軟件業務管理理念,功能涉及供應鏈、成本、制造、CRM、HR等眾多業務領域的管理,全面涵蓋了企業關注ERP管理系統的核心領域,是眾多中小企業信息化建設首選的ERP管理軟件信賴品牌。
轉載請注明出處:拓步ERP資訊網http://m.sdyuan.com/
本文標題:企業投資項目的戰略效益評估模型研究
























