1 流程持續改進效果評價指標體系的確立
流程持續改進與業務流程再造(Business ProcessReengineing,BPR)相比,更關注流程的持續發展潛力。由于業務流程的持續改進離不開組織學習與知識管理的支持。它們是流程持續改進的主要工具與手段。所以,本文所建立的流程持續改進效果評價指標體系(見表1)不僅包含反映流程績效方面的指標。也包含反映企業具備的組織學習能力和知識管理能力方面的指標。
2 流程持續改進效果灰色多層次評價
模型灰色多層次評價模是將層次分析法與灰色關聯分析法有機結合進行綜合評價。它適合評價多指標系統,能將相互間不可比的各項指標變得可比,對評價信息不精確、不完全確知的系統有明顯的優勢。模型建模的具體步驟如下:
2.1建立業務流程持續改進指標體系,如表1。

2.2確定比較數列(評價對象)
設評價對象為m個,i為評價對象的序號,i=l,2,……,m;評價指標為n個,k為評價指標的序號,k=l,2,……,n;V為第i個評價對象的第k個評價指標的評價值。將流程連續改進的指標值作為比較數列,記為Vik。
2.3對比較數列進行無量綱化處理
為消除不同指標不同量綱的影響,對不同類型的指標采取不同的規范化方法如下:
2.4計算參考數列與比較數列的灰色關聯系數
兩級的最大差;p為分辨系數,p∈【o,l】,本文取p=0.5。
2.5基于層次分析法的灰色加權關聯度的計算及建立關聯序
(1)計算灰色加權關聯度及建關聯序
計算單層次加權關聯度:企業業務流程持續改進效果的各評價指標的重要程度不同,所以.本文采用加權關聯度的形式,即關聯度計算方法為權重乘以關聯系數。加權關聯度的計算公式為R=(rj),E代表對應的關聯系數矩陣,各指標的權重由層次分析法計算得出。
計算多層評價的最終加權關聯度:將最下層各指標的關聯系數進行合成,分別得到它們所屬的上一層各指標的關聯度,然后把這一層所得到的關聯度作為原始數據。繼續合成,依次類推,直到求出最高層指標的關聯度為止。將所求得的關聯度按大小進行排序。
(2)計算絕對關聯度及建關聯序

3 模型的實際應用
根據上述灰色多層次評價模型。對某企業內部某流程連續兩次改進的效果進行評價。
3.1 確定流程改進效果的指標值數列(比較數列)
計算流程的連續兩次改進效果的最終關聯度時m=3,n=28。比較數列Vik。由流程連續兩次改進的指標值構成。對改進前后的業務流程進行時間動作研究.結合該企業售后服務部門的統計數字。可以得出定量指標的指標值。對于定性指標.每個指標的標度采用Uken 5級標度形式.請專家對指標進行打分,根據打分結果計算出各項指標得分的平均值。得到流程指標原始數據,如表2所示。

3.2指標值規范化處理并確定參考數列
指標中活動外部接觸度、流程周期、活動延遲率、人力資源占用率是屬于逆指標,其余指標是正指標。對各指標原始值進行規范化處理。得到規范化后的指標值。計算最終關聯度時選擇持續改進的最佳值(理想值)作為參考數列。計算D層指標間的絕對關聯度時選擇各指標持續改進效果最好的作為參考數列。規范化后的指標值及參考數列如表2。
3.3計算灰色加權關聯度及建立關聯序
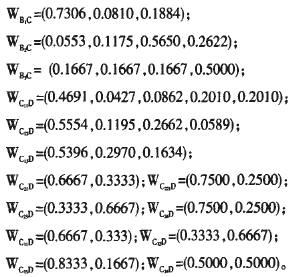
(1)計算指標權重及進行一致性檢驗結合建立的評價指標體系的層次結構。利用層次分析法進行層次單排序得到權重如下:建立關聯序:按R.中關聯度的大小將該企業業務流程改進的效果按從優到劣排序,依次為:流程第二次改進。流程第一次改進,流程原始狀態。
(2)計算第三級(D層)指標的絕對關聯度令V;為D層各指標對應數列,則m=28。n=3。確定參考數列,此數列X=(1,l,1)為流程連續改進時所有指標(規范化后)的最大值或者說是流程改進時對各因素的最大重視程
度。經計算可得兩級最大值0.5648;兩級最小值O。
3.4評價結果分析
(1)該企業業務流程持續改進的總體效果分析
上述最終灰色關聯度的計算結果表明:從整體發展角度,該企業所進行的業務流程持續改進效果保持較好趨勢。而通過研究B層各指標的關聯度可知,業務流程績效的關聯度的增加幅度較大.該企業業務流程績效方面提升幅度改進態勢最佳;其次是流程知識管理效果;而組織與流程融合程度與前兩者相比效果不顯著。
(2)影響該企業業務流程持續改進的因素(指標)分析通過分析D層指標的絕對關聯度的計算結果,可見顧客抱怨滿意處理率的關聯度最大,它與改進的理想目標最接近,這說明在進行流程持續改進的過程中該企業對顧客抱怨滿意處理率較為關注,其效果也較好.或者可以說該企業流程改進效果受顧客抱怨滿意處理率影響程度較大。其次是該企業也較為關注流程對結構與組織協調性的影響程度:再次是共同愿景吻合度等等。
4 結語
本文針對企業在業務流程管理過程中評價流程持續改進效果時所存在的信息不完全問題.建立了業務流程持續改進效果的評價指標體系,構建了灰色多層次評價模型對企業流程持續改進效果進行綜合評價。該評價方法充分利用了各指標數據的客觀信息及其隱含的灰色特性。通過實例說明評價及分析結論符合該企業流程改進的實際情況,評價指標選取基本合理、科學,評價指標樣本數據可以獲得,分析方法合適。評價模型具有較強的可操作性。
核心關注:拓步ERP系統平臺是覆蓋了眾多的業務領域、行業應用,蘊涵了豐富的ERP管理思想,集成了ERP軟件業務管理理念,功能涉及供應鏈、成本、制造、CRM、HR等眾多業務領域的管理,全面涵蓋了企業關注ERP管理系統的核心領域,是眾多中小企業信息化建設首選的ERP管理軟件信賴品牌。
轉載請注明出處:拓步ERP資訊網http://m.sdyuan.com/
























