0 引言
信息技術的飛速發展,引起企業運營和管理的深刻變革。作為一種全新的管理思想和IT應用體系,企業資源計劃(ERP)成為管理信息系統領域研究的重點。Gattiker(2005)研究表明,EPR是企業投資最廣泛的IT項目,今后幾年內企業實施ERP的增勢會持續保持。
ERP項目是一項復雜的系統工程,總體成功率并不高。Griffith研究表明,74%的ERP系統實施被證明是不成功的;針對國內企業的相關調研也顯示,我國企業ERP系統實施的總體滿意度只有8%。導致ERP系統實施滿意程度不高的因素有很多,除產品選型、項目管理外,還有一個重要的因素是缺少有效評估ERP項目投資的方法。由于ERP項目投資具有很大的風險和不確定性,并且投資收益評估相當困難,因此ERP投資評估成為困擾企業管理者的難題。
實踐中項目評估的方法很多,最常用的是凈現值法(NPV)。但NPV假設項目是靜態的,沒有考慮不斷變化的環境給ERP項目帶來的影響。忽略管理柔性的存在,可能會低估項目價值。近幾年來,許多學者提出用期權方法來進行項目評估,特別是對于那些具有高度不確定性的項目或行業,如R&D項目、網絡行業等,這一方法被稱為實物期權方法。
國內外已經有許多文獻研究期權在IT項目評估中的作用,但大多數都停留在期權模型的理論應用層面。針對NPV方法的缺陷,僅討論了期權模型在各種應用中建模的優點,而沒有針對ERP項目投資評估進行模型探討和案例分析。本文采用案例研究的方法,將實物期權的二叉樹模型應用于ERP項目的投資分析。相對于目前已有的以實物期權法評估IT項目的研究。本文的貢獻在于考慮到ERP項目投資的特殊性,選用的評估模型在實際應用中容易操作計算:通過案例的方法闡明實物期權法在ERP投資評估中的作用,以及如何在ERP項目實施過程中進行主動管理和靈活決策,以提高ERP項目的成功率。
1 ERP項目實物期權評估模型
1.1 ERP項目的期權特性
Santos研究發現,IT項目具有期權特征,在不確定情境下可以利用實物期權對IT項目進行投資評估。Benaroch提出,如果項目能夠給管理者提供管理柔性,從而可以針對可能發生的事件采取一些行動(如放棄、延遲、或擴大規模),即稱該項目蘊含實物期權。ERP項目的投資和實施是非線性的,一般分多階段進行,后續投資建立在前期投資績效基礎之上,同時管理者可以根據ERP給企業帶來的機會收益與造成的機會成本來決定是否進行下一步的投資。因此,ERP項目投資具有明顯的實物期權性質。
國外許多文獻已研究了如何將實物期權方法應用于IT項目的投資評估。Kambil等將期權理論引入IT投資的管理過程,說明了期權方法在IT投資評價與管理過程中的可用性。Benaroch采用案例研究方法分析實物期權法在POS機網絡建設中的應用。國內也有學者開始將期權思想應用于IT投資分析中,如陳君寧和胡振華用實物期權理論分析IT基礎設施的投資,采用Geske模型對IT投資中的復合期權進行求解。取得了很好的效果。
分析已有的研究成果,本文發現在ERP項目投資決策時,包括一個等待或推遲開始的實物期權,這相當于一個美國式的買方期權。該期權的執行條件是,推遲項目可以使管理人員獲得更多有關項目的信息,有利于管理人員采取相應的管理行動;但同時也應看到,推遲項目也可能導致項目收入的損失和企業競爭優勢的喪失,即推遲項目具有機會成本。在ERP項目投資中,除等待期權外,還包含以下一些期權:
(1)增長期權:完成項目第一階段后。增加第一二階段(額外)的投資;
(2)放棄期權:如果ERP項目實施不成功,管理人員可以終止項目的進行;
(3)根據新掌握的信息,擴張或收縮項目。如果出現比期望值更好的情況,管理人員可以擴大項目的規模;如果情況不利于項目的進行,則收縮項目規模。
1.2 ERP項目實物期權評估模型選擇
在現行的實物期權定量分析方法中,主要存在以下兩種方法:Black-Scholes期權定價模型和二叉樹模型。
(1)BS期權定價模型:基于無套利定價原則,通過標的證券與無風險債券的組合,復制相應期權的收益特征。該方法的嚴格假設前提使其不適合再投資決策的應用(如ERP項目),或者需要對模型進行擴展后再應用;且BS模型更適合單一期權,而不適合復合期權的評估。
(2)二叉樹模型:是解決如何在當前決策影響未來收益的情況下做出最優決策,陔方法羅列出實物期權有效期內標的資產的可能價值,然后返回未來最優策略的價值。這種方法將未來價值和現金流折現返回到當前決策點,用反向遞推方式解決最優決策問題。解決單期最優決策問題后返回,保證了整個問題的最優化。
ERP項目是一個多階段或序列投資過程,不僅僅是簡單的、一次性的軟件安裝。企業實施ERP一般有兩種主要的途徑:
(1)購買ERP廠商的綜合軟件包系統,然后設計、安裝和實施這些組件。
(2)先為主要職能部門選購一些最佳組件,再設計和開發中間件,實現系統綜合集成。
不管企業采取哪一種途徑。都可以假定ERP項目投資過程是一個從1到T內離散的確定時問點。在每一個決策點或決策評估階段t∈{1,...,T},企業決策者均擁有投資決策柔性,即在投資時機和投資規模上具有期權。適合應用二叉樹模型進行投資評估。因此,本文選用二叉樹模型對ERP投資進行評估。
1.3 二叉樹評估模型
在風險中性假設的基礎上,二叉樹定價模型假設標的資產的價格運動是時間離散的,通過復制投資組合的方法對實物期權進行定量分析。二義樹定價模型見圖1。
圖1中節點表示標的資產可能的價值,價值上升到Vdl的概率為p,下降到Vd的概率為(1-p)。

圖1 二叉樹定價模型
二叉樹模型的一個優點是計算過程體現了期權有效期內標的資產價值可能變化的路徑,中間環節的價值和決策可視,使得管理者對實物期權的價值來源有更直觀的認識:另一個優點是所有計算都可以通過軟件(如Excel)自動完成。因此采用二叉樹模型財ERP項目進行評估,能夠為管理者提供一個操作性強、過程易懂的評估模型。下面通過案例給出具體的應用步驟。
2 ERP項目投資中的實物期權評估應用
本節以蘇南地區某印刷企業投資ERP項目為例,說明二叉樹模型在ERP投資評估中的應用。通過具體的數據分析來解釋如何選擇期權,以及在ERP實施過程中如何進行二次投資決策。
2.1 案例描述
蘇南地區某印刷公司是一個以報紙印刷為主的綜合性印刷企業,近年來隨著報業的蓬勃發展,報紙印量和外接產品數量連年大幅增長。面對眾多的數據資料和頻繁的信息交流,在控制、管理和分析問題時,傳統管理方式顯得力不從心,如何彌補原有管理模式的缺陷,成為公司管理層的當務之急,最后決定通過ERP來改善管理模式。公司按照“先報紙后書刊、先生產后物資”的方針實施ERP系統,準備投入共計160萬元分兩階段推進ERP項目。
在采用二叉樹模型進行實物期權評估時,有兩個關鍵參數需要小心估計,它們可能會顯著地影響所計算的期權價值,從而對投資決策產生影響。首先要估計項目的投資收益值,其次要估計項目實施成功/失敗的概率。
本案例中(見圖2)。公司決定在第一階段實施為期1年的生產管理模塊,初始投資預算估汁為60萬元。對于第二階段(為期1年)的投資,管理人員有一個選擇權,可以根據第一階段的實施效果決定:如果第一階段實施成功,則第二階段擴大規模,投入100萬元實施紙張管理和財務管理模塊;如果第一階段實施一般則收縮規模,投入60萬元只實施紙張管理模塊:如果第一階段實施失敗,則放棄項目的第二階段。

圖2 某印刷企業ERP投資
由于ERP系統實施過程中存在很大的不確定性且投資收益周期長。大部分利潤會在第二階段投資后獲得,管理者估計,項目第二階段投資后的最終收益情況見表1。
表1 該印刷公司ERP項目具體投資收益(單位:萬元)

其中,放棄ERP的第二階段實施,項目收益額即第一階段投資的設施殘差(包括硬件、軟件和其它設施)在最好、一般和最籌情況下分別為80萬元、70萬元和60萬元。
公司管理人員估計ERP實施成功的概率是40%,不成功的概率是60%。無風險市場利率,本文參考2007年最后一次加息的銀行一年期定期存款率r=3.87%。
2.2 基于二叉樹模型的分析
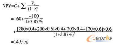
(1)NPV法。為了和實物期權分析結果相對比,先運用NPV法對該公司ERP項目投資進行評估。NPV需要當時就作出投資或不投資的決策,公司或者不投資或者完全投資160萬元。現時凈收益為:

(2)實物期權法——復合期權。下面采用二叉樹模型對該公司ERP項目投資進行分析(見圖3(a)-3(c))。從A點開始,第一階段即t=0時期投資60萬元,實施結果以40%的概率上升,60%的概率下降。

圖3(a) 在t=1時期投資100萬元(擴張期權)

圖3(b) 在t=1時期投資60萬元(收縮期權)

圖3(c) 在t=1時期不投資(放棄期權)
擴張期權(見圖3(a)):

項目的擴張期權、收縮期權和放棄期權的價值見表2。
表2 t=1時3種期權下的項目價值(單位:萬元)


類似計算收縮期權和放棄期權,收縮期權價值為8萬元,放棄期權價值為3萬元。
(4)NPV法和實物期權法比較。比較NPV和實物期權兩種價值評估法,區別總結見表3。
表3 基于NPV評估法與基于實物期權的評估法的對比

ERP是一個高投入、周期長、高風險和受組織因素影響大的IT投資項目。NPV忽視了項目實施過程中的不確定性和環境的劇烈變化,可能造成巨大的機會損失,降低管理層的決策正確性和準確率,采用實物期權分析法評估ERP項目,從復合期權定價法出發,而非單一期權定價,更符合ERP實施的特征。結果表明,基于實物期權的ERP實施能夠為管理者提供管理柔性。快速應對變化的競爭環境。
3 結束語
在ERP項目投資評估方面,學者提出了多種不同的模型。由于不同模型基于不同的假沒,每種方法的適用性需要實踐汪明才有結論。ERP項目本身的不確定性、高風險性、前后關聯性和外界競爭環境的不斷變化。要求企業在投資ERP項目時選擇適合自己企業發展階段和ERP項目特征的評估方法,從而獲得未來的商業機會。本文采用實物期權分析法的二叉樹模型評估ERP投資價值,從而充分挖掘ERP項目中蘊藏的管理柔性,利用不斷出現的新信息在ERP項目每個決策點對原有決策進行優化。提高項目的風險價值。實物期權是一種通過不斷創造選擇權,積極主動管理ERP項目風險的現代風險管理方法。與此同時借用實物期權定價理論,如BS、二叉決策樹等,還可以對靈活性決策增加的項目價值進行科學定價,為ERP項目的科學決策提供重要依據。但采用二叉樹模型,需要對項目投資收益值和項目實施成功概率進行估算,而ERP屬于高復雜性、多階段投資項目,給管理者的估箅帶來很大的困難。將來可以考慮結合投資估算法來降低管理者估算誤差給項目評估帶來的影響。
轉載請注明出處:拓步ERP資訊網http://m.sdyuan.com/
本文標題:基于實物期權的ERP項目投資評估研究
























