0 前言
隨著制造執行系統(MES)的發展,MES在企業生產管理和控制中的重要性日益突出。MES中的設備管理是基于設備狀態檢測的管理,這種方式對設備的自動化和數字化要求比較高,因此經濟成本比較高,F有的對MES建模方法和體系結構主要是通過提供標準的數據接口與其他系統集成,通過應用面向對象技術和組件技術,構造可重構、可擴展的可集成MES系統。中國對MES的研究相對較晚,常用的理論方法有:通過對狀態模型的辨識,利用在線辨識技術建立一個數學模型,但這種方法對非線性系統應用時限制較大;隨機模型參數估計這種方法對信號變化反應敏捷,但對緩變過程的異常不能很好的反映?傮w上看,中國對MES應用系統的開發局限于MES單一功能,隨著MES理論研究深度和廣度的發展,在具體實踐應用方面仍然存在一些關鍵問題:傳統管理方式對設備調度一般基于穩定或者理想狀態下的建模和控制,忽視了設備調度與MES系統其他部分的聯系和交互,MES的動態復雜環境削弱了傳統模式的適用性和有效性。因此,傳統的管理模式很難適應現代MES的發展要求。如何將MES中的這種維護方式和生產計劃維護相結合,以適用于企業復雜生產環境現狀是當前企業的一個難題。本文在研究了企業加工現狀的基礎上,結合現有的智能算法,提出了基于螞蟻算法的設備調度模型。本模型利用螞蟻算法的自反饋機制,層次化設備分類,能有效的提高設備的調度效率,降低企業生產成本,提高經濟效益。
1 問題的描述和模型建立
在銅類產品生產的過程中,既要提高加工企業的經濟效益,提高制造設備的利用率,降低原料成本,又要盡可能完成對客戶承諾的交貨期。針對在生產過程中時常會出現因設備故障而引發的安全和生產效率降低的問題,本模型以完成所有訂單任務的最小交付時間、減小庫存成本的總和最小為目標,建立了基于螞蟻算法的生產設備調度模型。銅加工生產設備的調度問題,可以描述為系統將制造任務分解為多個子任務分配給生產流水線中生產環節,各環節按一定順序排序。整個制造生產鏈條中,為每一個生產環節所具備的生產設備之間設置相似系數或者是距離,用來表示設備之間加工能力的相似程度,按照相似系數的大小,將設備逐一進行歸類,為設備調度提供基礎信息。
設整個車間內有有n臺設備,表示為xk(k=1,2,...,n)。聚類問題所描述的就是要把{x1,x2,...,xn。}集合中的設備區分為x中的c個種子集,滿足2≤c≤n。經典的聚類劃分是一種硬性的劃分,它把每一個未分類的對象嚴格地劃分到某個類中,展現了一種非此即彼的性質。但是事實上設備之間的數據有些是互相重疊的,因此模糊劃分是描述這種情況最合適的方式,模糊劃分方式對應的分類矩陣U是一個模糊矩陣,并且模糊矩陣U中元素uik,對任意的i和k,uik∈[0,1];對任意的

c是設備分類的種類數量。每個設備稱為一個樣本,由一組數據來表示。為了便于分析,把指標矩陣標準化得到標準矩陣X=(xij)n×m,標準化矩陣的每一行被看作各設備在指標上的模糊集合,建立相似矩陣R:

滿足|rij|≤1且rij=1,rij=rij。式中,rij采用絕對值的方式進行計算,即:

通過進一步計算會得到以下的模糊相似矩陣:

模糊聚類將各種類型的設備信息進行統一描述和分類,為螞蟻算法提供關聯信息。螞蟻算法將設備的相似度進行最優化,為設備的調度模型提供基礎數據來源。
2 螞蟻算法在設備調度模型中的應用
2.1 模糊聚類
調度模型的功能就是把出現的處理問題的參數轉換成設備指標中模糊矩陣R中的一個元素,調度的模式對于整個的調度操作有很大影響。模糊聚類方法有傳遞閉包聚類法和最大樹聚類法,傳遞閉包聚類法把相似矩陣轉換成模糊等價矩陣的過程中計算量非常大,不適用于現有的系統條件,因此本文采用最大樹聚類法。
最大樹畫法:從第1臺加工設備開始,從其他相關類設備中找出相關系數最大的,然后連接起來,得到最大相關樹,取λ∈[0,1],砍斷小于λ的樹枝得到不連通圖,各分支就構成λ水平上的分類。
模糊聚合分類方法只能把設備根據相似聚合度局部劃分開來,這只是整體生產流程中的一個環節,整體生產任務的路徑優化依靠螞蟻算法解決。
2.2 最優關聯的選擇
螞蟻算法是依據生產任務與設備指標的相似度即信息濃度為變量的概率函數選擇下一臺設備。

一個車間;α、β分別為螞蟻運動過程中控制信息素濃度和路徑距離的相對重要性參數(0≤α≤5,1≤β≤5);allowg(i)為第g只螞蟻在Vi中下一步可以選擇的設備的集合,即Vi中尚未訪問過的設備的集合。
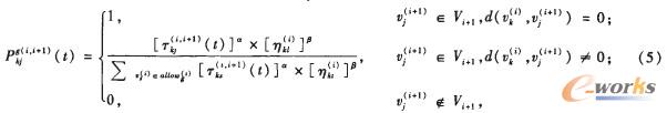
同理,第g只螞蟻從Vi中的Vk(i)到Vi+1中的Vji+1的概率可由下式求出:

其中,Tkj(i,k+1)(t)為Vi時刻Vk(i)中設備Vi+1和V中設備Vji+1之間路徑上的信息素濃度;d(Vk(i),Vji+1)=0為Vk(i)訂和Vji+1)位于同一個車間。
利用生產禁忌表來控制螞蟻的合法行進路線,設Tn表示第廳只螞蟻的禁忌表,它用來保存第n只螞蟻已訪問的所有生產加工設備。完成一次遍歷后,Tn用來計算該螞蟻當前的解(也就是該螞蟻通過的途徑);然后再將Tn清空,根據整條路徑的長度設置相對應濃度的信息素,并更新全局的信息素濃度,為下一次遍歷做準備。
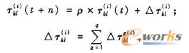
完成遍歷以后,每只螞蟻都在它經過的路徑上留下相應的信息素。隨著時間的流逝,信息素的濃度逐漸減少,用ρ來表示信息素的持續參數,1-ρ則表示信息素的揮發參數(0.1≤ρ≤0.99,ρ取0.7左右為佳)。經過n個時刻,螞蟻完成一次遍歷后,第i條內部的路徑上的信息素根據下式進行更新:

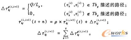
其中,△Tki(i)為本次遍歷后螞蟻在Vk(i)和Vt(i)之間的路徑上留下信息素增量的和;△Tkl(i)為從t到t+n時刻第g只螞蟻在以Vk(i)和Vi(i)路徑之間留下的信息素的增量,它的結果可由下面的方程式求出:

通過該螞蟻算法計算取得設備最優關聯度,調度系統調度生產設備,以完成生產預期。
3 模型檢驗和結果分析
本實驗在銅加工廠生產環境下進行測試,不同類型的產品訂單分配到特定的生產線,同時,生產任務的計劃受到產品交付日期和庫存時間長短的限制。比如有20個任務訂單待加工,其加工的主要工藝流程為:配料—熔煉—鑄造—加熱—熱軋—銑面—初軋—切邊—退火—酸洗—預精軋—退火—精軋—清洗—拉彎矯直—剪切—包裝—入庫。生產設備中已存在的并行機為:兩臺初軋機,三臺高精度銅帶精軋機,兩臺酸堿洗機,四臺可控連續式熱處理爐,四臺高精度精整包裝機,兩臺清洗機,兩臺軋輥磨床,其余的加工設備都是一套。按照上述設備類型和數量進行對比實驗,取與設備發生的離散事件作為設備的狀態,各狀態的發生概率以一周的設備管理數據為依托,通過算法公式計算可得:每天有23.28%的設備由于環境擾動偏離了設備管理的目標,能夠按原計劃生產的天數為2.5d,周計劃前3天基本能夠按生產計劃執行。進一步分析可知:設備故障,設定調整的時間過長;谖浵佀惴ǖ脑O備調度與傳統調度的方法對比結果見表1,通過對比可以看出:相對于傳統的調度方式,經過螞蟻算法優化后的效果是顯著的。
表1 螞蟻算法排序和傳統模型的應用效果比較

4 結束語
本文針對銅加工產品生產過程中的設備替代問題,依據螞蟻算法和模糊聚合分類法相結合的方式,實現了設備的優化調度,提高了設備利用率,降低了成本。該模型的應用,充分挖掘企業制造資源的潛力。但是產品加工所處的是一種動態的環境,動態事件常常會影響到已編制好的生產計劃,導致其無法正常執行,這時就需要對生產過程進行實時監控。如何對銅產品生產過程進行實時監控將是下一步研究工作的重點。
核心關注:拓步ERP系統平臺是覆蓋了眾多的業務領域、行業應用,蘊涵了豐富的ERP管理思想,集成了ERP軟件業務管理理念,功能涉及供應鏈、成本、制造、CRM、HR等眾多業務領域的管理,全面涵蓋了企業關注ERP管理系統的核心領域,是眾多中小企業信息化建設首選的ERP管理軟件信賴品牌。
轉載請注明出處:拓步ERP資訊網http://m.sdyuan.com/
本文標題:制造執行系統MES中的設備調度模型























