0 引言
在信息技術飛速發展的今天,企業資源計劃(EntERPrise Resource Planning,ERP)以其集成的技術優勢及先進的管理思想,逐漸成為全球各行業提升核心競爭力、優化業務流程的重要選擇。ERP項目的實施不是單純的軟件系統上線,而是一項系統工程,需要通過完善的項目管理過程予以管控。目前,國內企業實施ERP項目的成功率遠遠低于國外公司,特別是大型、超大型國企的ERP項目呈現出周期長、投資額度大、風險系數高的特點,因此對ERP項目實施風險的研究具有一定的現實意義。
中國石油化工股份有限公司(以下簡稱中國石化)按照世界級一體化能源化工公司的發展目標,從2001年8月開始實施ERP項目,采用先試點后推廣的原則,經過10年摸索實踐,至今已在百余家下屬企業上線了ERP系統,覆蓋了油田、煉油、化工和銷售板塊的大部分公司,成為經營管理的核心平臺。在肯定成績的同時,中國石化也要看到ERP項目的實施過程并非完美。
主要存在以下問題:由于下屬企業的業務重組時有發生,ERP項目的實施沒有持續性;部分企業上線的ERP系統應用效果不佳,部分操作改在線下進行;主數據標準不統一,影響了總部財務報表大集中;與其他業務系統的數據共享機制不夠成熟,大有形成新的“信息孤島”之勢。這些因素往往都會導致ERP系統的二次上線。筆者對中國石化ERP項目的實施進行研究,發現ERP項目的風險管理是項目成功實施的不可或缺的環節。只有充分了解行業、企業特點,建立相應的風險控制機制和管理模式,才能發揮風險管理的積極作用,確保ERP項目的成功。
1 中國石化ERP項目風險分析
1.1 中國石化ERP項目風險的識別
中國石化ERP項目具有一般項目實施的普遍性風險,也有“中國國情、石化特色”的風險。筆者針對影響ERP項目實施的關鍵因素,將中國石化ERP項目實施過程中的風險總結概括為6大類,分別是:組織管理風險、人員隊伍風險、項目管理風險、業務風險、數據風險和技術風險。
對于風險指標的確定,筆者一方面借鑒了其他專家研究的成果。另一方面則根據項目團隊專家成員的經驗,參考了有關的過程文檔(如可研報告、調研報告、需求說明書、推廣模板、解決方案等),構建了中國石化ERP項目實施的風險評價指標體系,如表1所示。該風險指標評價體系的建立對石化行業具備可參考性和適用性。
表1 中國石化ERP項目實施的風險評價指標體系

1.2 中國石化ERP項目風險的評估
1.2.1 層次分析法建立判斷矩陣
層次分析法(AHP)基于運籌學的思想,適于對多因素、多準則、多方案進行綜合評價及趨勢預測。它的最大優勢是可以處理定性與定量相結合的問題,可以將決策者的主觀判斷與經驗導入模型,并加以量化處理。
層次結構分析模型如表1所示,通過9級標度法構建判斷矩陣。一級風險指標進行兩兩比較,得到判斷矩陣,如表2所示。
表2 一級風險判斷矩陣

二級風險指標判斷矩陣的創建方法同上。
1.2.2 計算權重向量和綜合評價指標
在對系統要素進行相對重要性的分析時,運用的主要是團隊專家的經驗和隱性標準,只能是相對的估值,因而有必萼進行相容性和誤差分析。估計誤差會導致判斷矩陣特征值的偏差,據此定義相容性指標。
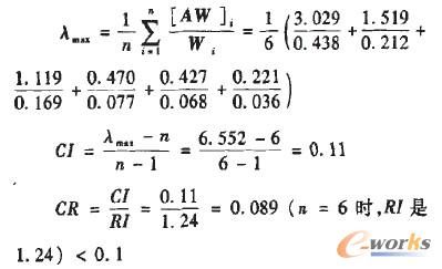
在下面的計算過程中,設A為判斷矩陣,設W為權重向量。設一致性指標為CI,λmax為判斷矩陣A的最大特征根,[Aw]i為矩陣[Aw]的第i個分量。一致性指標CR=CI/RI,RI為隨機一致性指標。當一致時,CI=0;不一致時,一般有λmax>n,因此CI>0。故一般可以根據CI<0.來判斷是否一致,口越大,不一致越嚴重。一致性指標方面,若CI<0.1,則認為判斷矩陣的一致性可以接受,權重向量W可以接受。下面以一級風險矩陣A為例進行計算

列向量歸一化

則

所以,認為判斷矩陣的一致性可以接受,權重向量W可以接受。
一級風險指標的權重值如表3所示。
表3 一級風險權重值

同理,得到各二級風險因素的權重,如表4所示。
風險因素綜合指標值=二級風險指標權重值×一級風險指標權重值。
如:U11=0.738×0.438=0.323,得出各級風險的綜合指標值。對ERP項目實施中的風險因素按照對項目實施整體風險的影響程度從大到小排列如表5所示。
表5得出了中國石化ERP項目的總體風險排序。從二級風險的分值上看,組織管理方面,企業機構改革、流程重組(0.323)的影響最為突出,企業思想認識不足(0.086)和知識管理不到位(0.028),影響相對較小,由此可知,組織管理風險對ERP項目實施影響最大;人員隊伍方面,領導層的支持(0.121)對實施ERP項目的影響較大,領導的參與程度決定了下級部門與用戶的積極性,同時,業務部門的支持(0.057)和核心成員的穩定性(0.011)也會對ERP項目產生影響;項目管理方面,當屬范圍(或需求)的控制(0.109)最重要,需求經常變化,必然會造成項目進度和成本的失控,溝通、進度控制、成本控制也是ERP項目實施工程中不能忽略的內容;業務類風險中,板塊差異(0.035)與經營模式多樣性(0.035)同等重要,這也是引起ERP項目二次開發的主要原因。數據類風險中,數據標準化(0.049)是難點,往往是ERP項目上線前最大的攔路虎,標準化工作需要建立長效機制。技術類風險中,三個二級因素同等重要,產品(0.012)、集成(0.012)、信息安全(0.012)缺一不可,其中更為多見的來自產品自身的風險。
表4 二級風險權重值及一致性檢驗

表5 各級風險按重要性排序

筆者根據中國石化ERP項目實施的問題反饋信息進行比照后,發現本文提出來的風險指標體系基本符合實際情況,通過AHP方法計算的重要風險因素。也是目前對中國石化ERP項目實施影響較大的因素,具有一定實際意義,因此對比提出了中國石化ERP項目的風險控制建議。
2 中國石化ERP項目風險控制
2.1 組織管理風險的控制
組織管理風險是中國石化ERP項目實施最大的風險。中國石化作為超大型國企,為優化資源配置,進行機構重組是企業改革的需要。這將給作為業務底層支撐的ERP系統帶來根本性的變動。因此,此類風險無法規避,只能通過事前控制來減輕風險的影響。因為企業機構改革、流程重組會引發企業思想認識不足和知識管理不到位,所以積極做好事先的業務流程重組是防范此類風險的首選方法。如果實在無法避免,應盡量在詳細設計階段到來之前完成改革及重組,將系統調整的影響降到最小。針對思想認識的風險,可通過分層次培訓的措施來減輕,通過培訓,使企業從領導到員工都對ERP系統有足夠的認識,促進ERP理念與實際業務的融合。在思想認識提升的基礎之上,通過ERP項目實施過程逐步建立知識企業知識庫,做好ERP項目有關知識的收集與傳遞。特別關注隱性知識的轉化和傳遞。
2.2 人員隊伍風險的控制
領導層的支持與否決定了業務部門的支持力度和參與人員的熱情。要保證中國石化ERP項目能夠順利實施,首先要對領導層進行培訓,使各級中、高層領導掌握ERP的基本理念,了解ERP的實施方法論。其次應建立矩陣式的項目團隊,自上而下成立“領導組—管理組—實施組”,明確領導、業務部門和支持用戶的責任與分工,讓參與者感到有章可循、責權明晰。在有組織保障的同時,對關鍵用戶還須建立相應的激勵機制,通過職位晉升、培訓、精神及物質獎勵等方式真正讓大家感受到組織的感召力,降低人才流失的幾率。通過項目實施過程,企業要著力培養自己的技術支持團隊,作為今后系統運維的主力軍。
2.3 項目管理風險的控制
中國石化ERP項目范圍管理風險主要來自于需求調研不深入和用戶需求的變更,最主要的管理工作是做好范圍計劃、工作分解結構(WBS),以及變更控制策略。
進度風險的控制可運用階段控制理論,通過完整細致的項目計劃來進行監控。每個階段都要隨時審視ERP項目計劃(包括進度、質量、變更、風險控制等)的執行有效性。進度計劃的制訂要有備用方案。正常情況下執行正常計劃,發生變更時執行備用計劃或應急計劃。應急計劃通常是通過趕工(加班)或壓縮非關鍵路徑的工期來實現。但無論是什么原因調整計劃,ERP項目的最小實施周期要保證,不能盲目壓縮。
成本風險的控制可以從以下幾方面給予關注:ERP項目往往采取總價合同,合同要包括硬件費、軟件費、實施管理費和維護費。還有就是保留10%的風險預留金。為了確保公司利益不受
侵害,ERP項目付款往往采用分期支付,如“4—4—2”模式。
溝通管理方面,中國石化ERP項目的實施團隊應結合組織機構特點制訂有效的溝通計劃,建立靈活的溝通渠道。例如定期組織項目例會,及時督辦等。
2.4 業務風險的控制
中國石化的業務具有企業板塊類型多、生產方式差異大、生產流程定制個性化強、下屬企業標準不統一的特點,各下屬企業的生產經營模式復雜多樣,因此,中國石化ERP項目的實施應該根據不同板塊建立不同推廣模板的方法來控制業務風險。這種方法既能滿足下屬企業業務流程的實現,也能夠將個性化管理框定在一個范圍之內。當企業需求與SAP公司標準功能不一致時,二次開發是不可避免的。由此帶來的風險可通過提高開發方案的科學性和測試的嚴謹性來加以控制。二次調整或開發后要組織專人嚴格測試。當需求發生變更、調整時,測試要重新進行。
2.5 數據風險的控制
對于數據風險,中國石化首先要做好數據標準化的中長期規劃,建立集中的主數據發布平臺,解決標準不統一、一物多碼等問題。ERP項目實施過程中,編寫項目計劃時要將數據籌備工作作為其中的一環,成立數據小組,使該項工作有組織上的保障。上線后還要制定主數據管理制度和流程。
2.6 技術風險的控制
遵循嚴謹、科學的技術路線是防范技術風險的必要途徑。在ERP項目實施過程中,中國石化要密切聯系sAP公司技術支持,建立與SAP公司的快速通道。在與其簽署的年度技術服務合同中,要涵蓋ERP系統升級時所需的各項服務。ERP系統升級要慎重,要充分考慮到對客制化程序的兼容性。要做好ERP系統的監控、備份和權限管理。建立“D—T—P”三層架構,將開發、測試與正式的生產環境實現物理隔離,可極大程度地規避技術風險。
3 結語
本文對中國石化這一特大型石油化工企業的ERP項目實施過程做了具體的風險分析。將ERP項目的實施風險分為6大類,21小類。通過層次分析法進行了權重比較,確定了21小類二級風險指標的綜合指標值。在此基礎上,對中國石化ERP項目實施過程中的風險提出具體的控制措施。本文的研究可為石化行業的信息化建設提供參考。
轉載請注明出處:拓步ERP資訊網http://m.sdyuan.com/























