食品包裝(food packaging)是食品作為商品的重要組成部分,它能夠保護食品在流通過程中免受外來因素污染,保持食品的衛生與品質,好的食品包裝也能夠帶給消費者良好感官體驗,刺激消費者的購買欲,為企業贏得更大的市場競爭力。食品包裝檢測的目的是控制包裝質量,防比因包裝上的缺陷導致質量受損的食品流入市場,目前大多數食品檢測企業仍采用人工監測的方式進行檢測,但這種方式具有人工工作強度大、檢測精度低和管理不規范等問題,檢測結果不能達到預期,因此部分大型食品企業開始引進自動檢測設備,對食品包裝實行實時在線檢測,能夠重復大批量進行食品包裝檢測,同時準確性和規范性得以大幅提高。
機器視覺(machine visior)是指利用圖像攝取裝置代替人眼功能,圖像處理功能代替人腦功能,對產品進行信息分析、提取目標色素,進而控制生產過程的一種人工智能技術。機器視覺中用于圖像攝取的設備不會直接與產品接觸,對于設備本身和產品來說都更安全,且可以采用紅外線、微波等掃描技術,探測到人眼無法觀察到的范圍,擴大了視覺范圍。同時機器視覺機器穩定性好,可以長時間在惡劣的環境中工作而不影響檢測精度和工作效率。進入21世紀,計算機和網絡技術的快速發展帶動機器視覺技術也在不斷提高,應用范圍和控制能力進一步加深,國外多家機器視覺系統研究和制造企業已經能夠生產出性能優良的機器視覺儀器,并作為產品進行銷售口〕。而我國機器視覺技術起步較晚,其研究和技術相對滯后,與發達國家相比仍有一定差距,目前國內企業通常采用在國外相關設備及核心技術的基礎上,針對性開發一些包裝檢測系統,用于特定包裝的檢測工作。但整體來說,目前的機器視覺包裝檢測系統普遍存在圖像攝取裝置少、算法固定等缺陷,在具體使用過程中,容易出現檢測不全面的問題四。
本文以矩形紙質食品包裝為例,對機器視覺檢測系統進行研究,提出一種通用性和靈活性更佳的檢測系統模型,能夠更好的滿足實際生產需要。
1、機器視覺技術中的圖像處理技術
1.1圖像處理過程
圖像處理是機器視覺系統的核心部分,其處理過程可根據檢測精度和設備精細度分為三部分。第一部分為初級處理操作,即圖像預處理過程,包括降低圖像噪聲、提高圖像對比度及清晰度,由于環境因素使圖像攝取裝置對圖像判斷產生一定干擾性影響,為了使這種影響降到最低,需要對收集到的圖像進行預處理,通過圖像增強技術將圖像本身容易被忽略的細節部分顯現出來,提取出圖像的特征,方便后續處理。第二部分為中級處理操作,即將圖像中提取出來的特征輸入圖像處理系統進行圖像分割處理,將圖像分為目標部分和其他組成部分,圖像分割處理是整個圖像處理過程中最困難、最重要的一步,如果軟件中的設計算法不穩定或不成熟的話,極易導致分割結果不準確,影響后續識別工作。第三部分為高級處理操作,即將圖像整體特征值進行識別后執行相關函數算法以及其他處理工作。
1.2圖像處理算法
圖像處理算法在很大程度上決定了視覺檢測系統的檢測效果及效率,所以針對不同包裝產品選擇合適的圖像處理算法是十分重要的,食品包裝主要運用到的圖像處理算法包括二值化處理和邊緣檢測等。
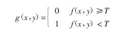
二值化處理也被叫做閡值分割,是較為常見的圖像分割處理方式,主要是將圖像特征部分和背景部分分開,具體做法為首先根據圖像的像素對比度確定分割閡值,利用灰度處理使目標區域和背景區域通過不同的灰度區分開。設定一個值,可以得出圖像算法:
其中“o"代表黑色,001”代表白色,上式代表圖像中像素值若大于等于T,則灰度值為“o",圖像中像素值若小于T,則灰度值為“n'
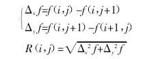
圖像的信息主要集中在邊緣部分,灰度變化也最顯著,邊緣檢測就是將圖像灰度有明顯階躍變化的像素集合,區分目標區域和背景區域,即根據相鄰區域的邊緣劃分目標范圍。邊緣分為階躍邊緣和屋頂狀邊緣,其中階躍邊緣中圖像灰度變化非常明顯,呈垂直跳躍式,而屋頂狀邊緣中圖像灰度變化比較弱,呈漸變式。邊緣檢測主要是提取圖像中的交界線,使用灰度倒數變化表征圖像邊緣變化,最后運用算法求取導數值,邊緣檢測算法中需利用算子求導,常用算子包括Robert算子、Sobel算子、Prewitt算子等。
以Robert算子為例進行介紹,Robert算子是利用局部差尋找邊緣,即:
其中(i,j)代表邊緣點,{R(i,j)}代表邊緣圖像,R (i,j)代表Robert算子梯度幅值,選擇合適的門限值RT,則應滿足:
Robert算子的優點是定位精度和噪聲敏感度較高。
2、機器視覺食品包裝檢測系統設計
2.1機器視覺食品包裝檢測系統的硬件設計
機器視覺食品包裝檢測系統的硬件包括圖像攝取裝置、圖像處理和分析裝置、結果輸出裝置三大部分。其基本構造如圖1所示。
圖1 機器視覺系統原理
Fig.l The schematic disgram of Machine Vision System
其中圖像攝取裝置的作用為將攝取到的圖像轉化為計算機可識別數據,具體設備包括光源、采圖觸發傳感器、鏡頭、CCD工業攝像機和圖像卡。圖像處理和分析裝置的硬件設備包括智能相機和PC系統,其中智能相機包括圖像采集、通信和圖像處理三大模塊,具有集成化特點,內部已經具有固化的視覺算法,使用和開發相對都比較簡單,但由于程序固定,推廣相對困難,只能按自身需要選擇最合適的智能相機,靈活度較低。而PC系統的可開發性和靈活性更大,能夠根據不同的檢測精度和數據量要求進行開發運用,系統利用率更高,因此本設計選擇PC系統作為圖像處理和分析裝置的硬件設備。
結果輸出裝置的硬件設備包括顯示屏和可編程邏輯控制器(Programmable Logic Controller,PLC),它的作用是方便查看檢測結果和及時去除不合格產品包裝,這個過程中應注意去除間隔時間和開關的設置,一是為了能正確去除不合格產品包裝,而是能在發現機器執行錯誤時能夠人工糾正,整個過程由PLC控制實現。
2.2機器視覺食品包裝檢測系統的軟件設計
機器視覺食品包裝檢測系統的軟件作用為對攝取到的圖像進行特定目標的分析、處理和識別,包含圖像處理工具軟件、程序語言軟件、檢測工具軟件和系統設置軟件。
VisualC++環境程序是一種而向對象的可視化集成程序,它可以兼容多種開發程序,能滿足Win32的開發需求,能夠自主生出程序框架,編程效率高,同時具有獨立性、多態性及可繼承性等特點,是程序結構趨向合理化和數據分離化。開發工具包選擇德國Machine Vision Technology CMYtec)公司推出的HAL-CON軟件,它具有完整的圖像處理函數庫(CImage Pro-cessing Library),運算功能齊全,計算能力強大。檢測工具系統可針對產品實際容易出現缺陷的地方進行集中檢測,具體內容包括灰度檢測、模板匹配、邊緣錯位檢測、邊緣角度檢測、邊緣線距離檢測和條碼識別等。
系統設置軟件包括系統當前狀態設置、品牌包裝圖像設置、品牌檢測窗口設置、檢測運行設置和關閉系統。以邊緣角度檢測流程為例,說明食品包裝的具體檢測流程,邊緣角度檢測流程如圖2所示。
圖2 邊緣角度檢測流程圖
Fig.2 The inspection flow of edge angle
3、機器視覺食品包裝缺陷檢測的應用分析
本文以某矩形紙質食品包裝的缺陷檢測為例,對上文提出的機器視覺檢測系統進行實例分析。在選取光源時考慮到矩形紙質包裝的光反射及折射能力強,因此選擇LE D條形組合照明燈,為保持光源的穩定性及高亮度,CCD工業攝像機采用頻閃光,同時使用6臺CCD工業攝像機同時進行六而分別拍照。
檢測系統界而軟件信息包括當前信息、品牌信息和檢測信息三大塊,其中當前信息模塊顯示了目前系統包含的信息和信息設置,品牌信息模塊能夠根據設置中保持的標準圖像對品牌圖像進行修改、刪除等操作,檢測信息模塊能夠存儲并識別缺陷圖案,若運行過程中發現缺陷圖案能夠自動報警。具體運行過程為:運行檢測界而,點擊“顯示選中通道”,選擇合適圖像攝取區域,點擊“圖像瀏覽”,瀏覽正常圖像和缺陷圖像及數目,點擊“測試圖像”,檢測并核實圖像信息,完成檢查步驟。
本系統能夠很好的對矩形紙質食品包裝實現6個而的檢測,能夠識別的缺陷包括條包反包、錯牌、斜置、倒置、破損、褶皺、端而變形、印刷錯誤和表而有異物。檢測樣品共計10000個,其中嚴重缺陷漏檢3個,漏檢率為0.03 %,一般缺陷漏檢18個,漏檢率為0.18 %檢測精度較高,每個包裝檢測時間低于100毫秒,檢測效率較高。界而具有自動保存和瀏覽缺陷包裝圖像的功能,方便使用,易上手。
4、結語
本文對機器視覺用于食品包裝缺陷檢測的圖像攝取裝置及圖像處理算法進行介紹,提出食品包裝檢測系統中的硬件設計和軟件設計,最后就矩形紙質食品包裝檢測系統為例,對機器視覺技術的實際運用予以說明,證明該系統的檢測工具能夠滿足實際生產需要,具有良好的通用性和靈活性,可投入實際生產中。
核心關注:拓步ERP系統平臺是覆蓋了眾多的業務領域、行業應用,蘊涵了豐富的ERP管理思想,集成了ERP軟件業務管理理念,功能涉及供應鏈、成本、制造、CRM、HR等眾多業務領域的管理,全面涵蓋了企業關注ERP管理系統的核心領域,是眾多中小企業信息化建設首選的ERP管理軟件信賴品牌。
轉載請注明出處:拓步ERP資訊網http://m.sdyuan.com/
本文標題:基于機器視覺的食品包裝缺陷檢測研究
本文網址:http://m.sdyuan.com/html/consultation/10839320609.html