自動化立體倉庫是一種設置有高層貨架,并配有巷道堆垛機和自動控制、計算機管理系統,實現搬運、存取的機械化與自動化,貯存管理現代化和信息化的新型倉庫。它是用高層貨架儲存貨物,以搬運機械手存取貨物,并通過周圍的輔助裝備,自動進行出入庫存取作業的系統。自動化立體倉庫具有占地面地小、貯存大、周轉快的優點,是集信息、貯存、管理于一體的高技術密集型機電一體化產品。人機界面是與立體倉庫的控制系統與實時監控緊密聯系在一起的,通過人機界面可以控制立體倉庫機械手的各種動作的完成,當在高危險環境中工作時,可以通過人機界面遠程控制機械手對貨物存取的完成,保證了人員的安全。人機界面還可以監控貨物存取過程的運行,通過指示燈顯示貨物是否完成到位等。工作時,只需要操作人員按動鼠標就可以完成相應的動作。本文擬采用西門子PLC為控制核心,設計立體倉庫的自動化控制系統,并開發出操作員級別的人機操作界面。
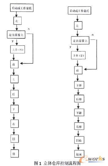
1 自動化立體倉庫搬運機械手動作控制流程
搬運機械手初始位置在零位,當可編程控制器接受到上位機中的命令時, 搬運機械手開始執行不同的命令,工作方式有以下幾種:
(1)取件動作:從三維庫中指定位置取工作盤放到外部傳送裝置的工作站托盤上;
(2)放件動作:從外部傳送裝置的工作站托盤上取工作盤放到三維庫的指定位置:
(3)取放件動作:從三維庫中指定位置取工作盤放到外部傳送裝置的工作站托盤上,在工件經過其他操作后再回到庫的工作位時從外部傳送裝置的工作站托盤上取工作盤放到三維庫的指定位置:
(4)移庫動作:把三維庫中的工件從一個庫位移到另一個指定庫位,機械手通過直流電機控制左右、上下、前后移動控制流程圖如圖1。

2 控制程序的編制
操作控制分為手動自動兩種形式,當在自動上面的時候,點擊放貨物按鈕即可完成貨物的自動存放,按照一定的順序完成貨物的存放,同理,完成貨物的取出。當在庫源、目標庫中輸入貨倉號時,可以完全成貨物的倒倉等一系列的動作。貨倉的各個貨位均有指示燈愛人機界面上顯示j可以通過指示燈知道貨倉中是否有或無,不必進行人員巡視檢查,減少了人員的浪費等。
根據控制要求確定的輸入輸出端子如表1所示。

編寫的PLC控制程序(部分)如圖2所示。

3 人機操作界面的開發
根據立體倉庫控制程序和操作要求,設計人機操作界面,使之完成立體倉庫的所有功能,包括取件、放件和移庫等操作,并能實時監測庫位存放J=件的狀態。經過設計生成的畫面如圖3所示。

利用MCGS實現設備驅動的基本方法是:在設備窗口內配置不同類型的設備構件,并根據外部設備的類型和特征,設置相關的屬性,將設備的操作方法,如硬件參數配置、數據轉換、設備調試等都封裝在構件之內,以對象的形式與外部設備建立數據的傳輸通道連接。系統運行過程中,設備構件由設備窗口統一調度管理,通過通道連接,向實時數據庫提供從外部設備采集劍的數據,從實時數據庫查詢控制參數,發送給系統其它部分,進行控制運算和流程調度,實現對設備工作狀態的實時檢測和過程的自動控制。
4 總結
自動化立體倉庫具有占地面地小、貯存大、周轉快的優點,是集信息、貯存、管理于一體的高技術密集型機電一體化產品。利用西門子PLc作為控制核心,因為它可靠性高,速度快,靈敏度高等優點通過編制控制程序,完成立體倉庫的各種自動化操作。通過設計人機界面,完成倉庫的遠程操作,控制立體倉庫機械手的各種動作的完成。特別是當在高危險環境中丁作時,可以通過人機界面遠程控制機械手對貨物存取的完成,保證了人員的安全。
核心關注:拓步ERP系統平臺是覆蓋了眾多的業務領域、行業應用,蘊涵了豐富的ERP管理思想,集成了ERP軟件業務管理理念,功能涉及供應鏈、成本、制造、CRM、HR等眾多業務領域的管理,全面涵蓋了企業關注ERP管理系統的核心領域,是眾多中小企業信息化建設首選的ERP管理軟件信賴品牌。
轉載請注明出處:拓步ERP資訊網http://m.sdyuan.com/
























