引言
隨著全球化經濟的發展,我國紡織企業將有更多的機會利用全球資源,更大范圍地參與國際市場競爭。但是,目前我國紡織企業仍然多依靠傳統的低成本、低價格手段參與競爭,與現代化的信息技術之間存在反差的脫節。要解決這一矛盾,必須加快紡織企業的信息化建設。而企業信息化建設是一項系統工程,也是一個不斷評價和完善的過程。因此,探索出一種科學合理的方法評價企業信息化現有水平,比較企業間信息化水平的差異和特點顯得尤為重要。深入研究信息化水平評價體系和方法,全面、客觀和科學地評價信息化水平,有助于紡織企業發現問題、把握信息化建設方向,為管理層制定信息化戰略提供量化的依據。
對于企業信息化水平評價問題,很多學者做了大量研究。綜合國內外有關文獻來看,對企業信息化水平的評價方法有以下幾種:定性方法、一般統計方法、層次分析法、模糊綜合方法等。定性方法一般有查閱資料法、訪談法、專家評分法、市場調查法等,這些方法簡單易行,但是容易受到評價者主觀意識的影響,不能反映企業信息化的真實情況,還會引導企業粉飾或片面追求權重較高的指標。一般統計方法有主層分分析法、因子分析法等,這些方法的思路都是降維,即通過一定的處理把多個指標約化為少數幾個綜合指標,有利于減少工作量,節約成本,突出主要矛盾,但是這些方法更適合處理數據,而非評價水平。層次分析法是一種定性與定量相結合的方法,較為合理,但同定性方法一樣,易受到評價者主觀因素的影響。模糊綜合方法基于模糊數學理論建立信息化水平評價模型,但是此方法涉及到兩個問題:模糊測評矩陣和指標權重的確定。
為了盡可能的彌補上述方法的不足,本文嘗試將不同方法融合起來建立模型,將定性方法與定量方法結合起來,首先建立指標體系設計問卷,并通過訪談法反復修改問卷;其次依據最終問卷挑選企業樣本進行調查獲取數據;最后,使用灰色系統理論,建立灰色聚類評估模型對所獲得數據進行量化處理,得出各企業的信息化水平并以此估計行業的信息化水平。
一、紡織企業信息化水平評價的指標體系
評價企業信息化水平要從企業引進信息技術的目的和企業發展的戰略目標出發,考慮信息技術對企業經營管理水平的改善和提高效應。影響企業信息化應用水平的因素是多方面的,因此評價指標體系的構建需要遵循以下原則:科學性與實用性相結合原則;系統性原則;動態性原則;可操作性原則;獨立性準則。
根據以上原則和紡織企業生產管理的特點,得出評價其信息化水平的側重點有:信息化建設指標:建設水平是信息化的基礎,很大程度上決定了企業信息化的發展水平;應用水平指標:應用水平高低直接決定了企業實施信息化的經營效益與市場競爭能力;效益指標:直接反映實施信息化的收益,經濟效益的提高是企業實施信息化最強大的動力。具體指標體系見下表1:
表1 紡織企業信息化水平評價指標體系

獲得企業信息化指標數據的方法很多,最普遍的是問卷調查法。本文首先依據該指標體系設計調查問卷,并根據領域專家意見進行修正;其次,在小范圍內進行問卷測試,根據測試結果對問卷進行調整;最后,選取不同的樣本企業發放和回收問卷,獲得較為真實、可信的數據,再據此建立的灰色聚類模型進行實證分析,評價紡織企業的信息化水平。
二、紡織企業信息化水平的灰色聚類評估模型
灰色聚類有灰色關聯聚類和灰色白化權函數聚類。根據兩方法和待解決問題的特點,本文選取灰色白化權函數聚類方法建立模型。灰色白化權聚類根據聚類對象的不同聚類指標所擁有的白化權函數,按s個灰類進行歸納,主要檢查觀察對象是否屬于事先設定的不同類別,以便評價或比較。根據這一基本思想,本文的灰色聚類評估模型可考慮如下:
1.設受評的紡織企業q的信息化水平綜合評價值為ω(q)(q=1,2,...,n)。μi(i=1,2,3)代表一級指標,εi(i=l,2,3)、 ψi(i=1,2,3)、δi(i_1,2,3)代表二級指標,εij、ψij、δij(i-1,2,3;j=1,2,3,4,5)代表三級指標。為方便起見,三級指標仍用上述相應的三級指標符號表示。
2.按照評估要求所需劃分的灰類數s,選取λ1,λ2,... ,λs。為最屬于灰類1,2,... ,s的點成為中心點,將各指標的取值范圍也相應地劃分為s個灰類。以指標ε11為例,將其取值范圍[λ1,λs]劃分為s個小區間[λ1,λ2],...,[λk-1,λk],...,[λs-1,λs],[λs,λs+1]。
3.同時連接點(λk,1)與第k-1個小區間的中心點(λk-1,0)以及(λk,1)與第k+1個小區間的中心點(λk,0),得到ε11指標關于k灰類的三角

6.將企業q的所有評價指標所屬的灰類計算出來后,根據每個灰類中的指標數的多少判斷企業q最終所屬的灰類。
三、實證分析及結論
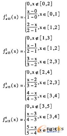
本文根據抽樣原理選取了全國不同地方、總計141個紡織企業進行問卷調查,這些企業中有58個大型企業,65個中型企業,18個小型企業。根據已有文獻小型企業的信息化水平很低,研究意義不大,且大中型企業是我國紡織產業振興的重要力量,故所調查的企業以大、中型企業為主。本文取優、良、中、差4個灰類,以ε13這一指標為例,其各灰類的中心點取值分別是λ0=0,λ1=1,λ3=2,λ4=3,λ5=4,λ6=5,得到的白化權函數如下:

運用MATLAB軟件計算所獲取問卷中的各個數據的灰類,再用Excel軟件處理計算結果,得出每個企業所屬的灰類,以七匹狼服裝企業為例,其各指標的計算結果如下表2。再由此計算該

企業的信息化水平屬于“優”。其余140個樣本企業的計算過程都相同,在此不再一一說明。根據各企業的綜合聚類結果,得到圖1、圖2。
表2 七匹狼紡織服裝企業信息化問卷調查結果分析


圖1 各灰類值中不同類型企業所占比例

圖2 各類型樣本企業的灰類值分布
由圖可知,企業規模越大,其灰值越大,信息化越高,信息化水平為“優”的企業中有80%以上是大型企業,而小型企業無一為“優”;中型企業的信息化水平居于“中”的最多,但評價結果是“優”的比例接近于“中”,所以整體上中型企業的信息化水平要比大型企業差一個級別;而所抽查的小型企業的信息化水平只能別評為“差”。如果將大型企業和中小企業聯合起來考慮,那么我國紡織產業的信息化水平介于“優”與“中”之間。但是,小型企業的信息化水平很低,其數量又多,嚴重影響我國紡織企業信息化的整體水平。
根據二次聚類分析,二級指標ψ1、ψ2、ψ3的灰值較大,說明企業運用信息化收集處理市場信息、預測決策市場行情和企業內信息共享的能力較高,可知我國紡織企業的信息化應用水平較高;而指標δ1、δ2和δ3的灰值最小,說明行業協會、政府在企業信息化建設中發揮的作用令企業不滿意,不符合企業的需求,這是紡織產業信息化的短板,需要進一步改進;在評價信息化建設時,指標如的灰值很小,說明我國紡織企業對信息化的投入偏少,沒有引起足夠的重視,這也是影響其信息化發展的重要因素。
根據以上分析可知,要提升我國紡織產業的信息化水平,應從以下幾個方面著手:首先,要加快大中型紡織企業的建設,擴大企業規模;其次,產業協會和政府要發揮應有的作用,結合企業的需求,為企業信息化建設提供更好的服務;最后,紡織企業應充分認識到信息化建設的重要程度,增加對信息化建設的投資。
核心關注:拓步ERP系統平臺是覆蓋了眾多的業務領域、行業應用,蘊涵了豐富的ERP管理思想,集成了ERP軟件業務管理理念,功能涉及供應鏈、成本、制造、CRM、HR等眾多業務領域的管理,全面涵蓋了企業關注ERP管理系統的核心領域,是眾多中小企業信息化建設首選的ERP管理軟件信賴品牌。
轉載請注明出處:拓步ERP資訊網http://m.sdyuan.com/
本文標題:基于灰色聚類模型的紡織企業信息化水平評估
























