產品數據管理(Product Data Management,PDM)是管理所有與產品相關的信息和過程的技術,其主要功能包括產品文檔管理、產品結構管理和工作流管理等。PDM能使產品數據在其生命周期內保持一致、最新和安全,能夠縮短產品研發周期、降低成本、提高質量,并為企業贏得競爭等優勢。PDM為機械制造企業數據管理系統的核心系統之一,也是數字化制造的實現奠定基本物質基礎之一,但現代PDM也面臨著挑戰,如PDM一般采用關系型數據庫,而傳統關系型數據庫很難克服數據庫高并發讀寫、海量數據的高效率存儲和訪問、數據庫的高可擴展性和高可用性的問題。說明隨著MBE全三維信息化技術逐步成熟,裝備制造業PDM系統中數據的結構化特點越來越弱——企業能夠不需要數據轉換而充分使用三維模型,則企業獲得的數據將是原始CAD數據。
關系型數據庫中的數據往往需要極高的精確度,一般須遵守ACID特征,非關系型數據庫NoSQL則打破了長久以來關系型數據庫與ACID理論大一統的局面。相對于傳統的關系型數據庫系統,NoSQL數據管理系統有很多優勢特征:高擴展性、高容錯性、高性價比等,這些特性使得NoSQL數據管理系統更利于管理大規模海量數據,且能有效地處理非結構化數據,例如文件、電子郵件、多媒體和社會媒體。
產品結構與配置管理作為PDM的核心內容之一,它以創建產品結構樹為中心,從PDM集成應用系統中自動捕捉產品結構信息建立產品結構樹;诖,本文著重研究以非關系型數據庫NoSQL來存儲產品結構信息,以產品結構樹形式展示給用戶的問題。
1 產品結構樹
產品結構樹用于對產品進行逐層分解,第一層將產品分解成多個部件(在樹中,零件為葉子結點,部件為非葉子結點),而部件則再進一步分解成子部件和零件,此過程以此類推,直到將此產品的全部組成成分分解成零件為止,由此形成的分層的樹狀結構便是產品結構樹,故產品結構樹反映了產品與零部件之間的層次關系。產品A的分解過程如圖1所示:

圖1 產品分解過程示例圖
如圖1所示的產品A是由多個零部件組成,其中部件又由多個零件或子部件組成。由圖1可知,產品結構樹為多叉樹,而多叉樹中非葉子結點的子結點數是沒有限制的,且產品結構樹中的零部件可能會被多個部件重復使用(如圖2所示),樹中每個部件都有,n(n>=0)個子部件和零件組成,每個零件又被n(n>=0)部件使用,則樹的內部為多對多的關系。

圖2 產品結構樹中零部件被重用示例圖
則由圖1和圖2可知,產品結構樹主要有兩個特點:樹中非葉子結點的子結點數不固定;樹內部結點之間為多對多關系。產品結構樹的存儲結構主要有兩種:雙親表示法和孩子表示法。由于RDB(關系型數據庫)的表中的列數是固定的,不允許列數動態地變化,因而在基于RDB的傳統PDM系統產品的數據存儲結構中,主要建有基本信息表:產品、部件及零件表,和一個關系表以記錄產品的配置關系,在關系表中以一條記錄來記錄一對直系的父子關系,即將多對多的關系拆分成多個一對一的關系,并且基于此關系表記錄產品的更新信息。對于成型產品,其配置結構是固定的,故可在基本信息中直接記錄其結構關系,結合產品結構樹及RDB的特點,本文以文檔型NoSQL數據庫(MongoDB)作為其底層數據支撐環境來研究產品結構樹的數據組織,由于NoSQL具有嵌入文檔、模式自由等特點,因而較RDB能更好地記錄產品的基本屬性與配置關系信息。
2 基于NoSQL的PDM數據存儲結構及產品結構樹生成算法
根據產品結構樹創建原理,利用NoSQL數據庫的特點,摒棄PDM系統中數據在關系型數據庫中的存儲結構的傳統模式,以更靈活的方式構建PDM的數據存儲結構,便于用戶更好地理解和操作。
2.1 基于NoSQL的PDM基本信息的數據存儲結構
NoSQL打破RDB的一行只記錄一對關系規則,利用NoSQL的數組和內嵌文檔功能,一條記錄便可以記錄多組關系對的功能,且關系對的數目無限制,故可在產品基本信息的集合中設定一個Children[]數組字段,即將產品結構樹中的多對多關系拆分成一對多的關系,且在Children[]數組字段中記錄該產品(或部件)的所有直系孩子結點的編碼_id,并在Children[]字段中再插入一個num字段以記錄被包含的相應孩子結點的數量,而在零件集合中則沒有Children[]數組字段。
在NoSQL中,PDM基本信息主要由產品product集合、部件component集合、零件parts集合組成,產品product的屬性主要有產品編碼Product_id、產品名稱Name、類型Type、子結點Children[]、自制/外購Make/Buy、凈重Weight、創建者Creator、設計者Designer和創建日期CreateDate,字段子結點Children[]是一個數組,在Children[]中設有_id字段、Type字段和num字段,分別記錄此產品的所有直系孩子結點的編碼、相應結點的類型及此結點被包含的數量。該結構相較于傳統RDB需要多條行記錄才能完成的存儲方式而言,更便于數據庫管理員直觀地看到某父結點的直系子結點。產品product集合在數據庫中的存儲結構如下所示。

部件component集合中的主要屬性為部件編碼Component_id、部件名稱Name、類型Type、子結點Children[]、自制/外購Make/Buy、凈重Weight、創建者Creator、設計者Designer和創建日期CreateDate,部件component集合在數據庫中的存儲結構如下所示:

零件parts集合的主要屬性為Parts_id、部件名稱Name、類型Type、材質Material、圖紙Picture、自制/外購Make/Buy、凈重Weight、數量quantity、創建者Creator、設計者Designer和創建日期CreateDate,零件已是最小的產品單位,它在產品結構樹中處于最底層的,故其零件parts集合在數據庫中的存儲結構如下所示:

2.2 產品結構樹生成算法
基于上述存儲結構,采用層次遍歷方法生成產品結構樹,算法如下:
(1)以某一產品為根結點,即為樹的第一層結點;
(2)在產品集合中查找此產品記錄中的Children[]字段,記下其所有的孩子結點以及它們的類型Type,即為樹的第二層結點;
(3)第二層的所有結點中,若有類型為零件的直接定為葉子結點,若為部件類型則定為非葉子結點并查找其在部件集合記錄中的Children[]字段中的所有孩子結點的編碼及類型,這些孩子結點組成了樹的第三層;
(4)對第三層的結點的處理方法同第三步對第二層結點所做的處理,以此類推,直到樹的最底層中的各個結點均為零件類型為止。
若產品A的結構為(A(B1(B3(a5,a6),a2),B2(B4(a7,a8,a9),a3,a4),al))以大寫字母代表產品(A、A1、…)和(子)部件(B、B1、…),以及小寫字母代表零件(a、a1…),采用Tree Tag技術在Jsp頁面上顯示,如圖3所示:

圖3 產品A結構樹示例圖
3 基于NoSQL的PDM系統產品結構樹的維護
隨著產品信息多樣性的發展、產品升級,以及客戶對產品性能、結構、特征等需求的變化,產品結構樹的結構也必然隨之發生變化,其中,增加、刪除零部件操作,即對產品結構樹做增加、刪除結點(根結點除外)操作最為關鍵。
3.1 產品結構樹的結構關系地整理
PDM的基本信息集合中產品product、部件component和零件parts集合皆用于存放某個(某類)產品的全部信息,而配置關系僅表示相鄰兩層之間的直系父子關系,不能全面、直觀地表達整棵樹中結點之間的(被)包含關系,因而在基于RDB的PDM系統中,查找某結點的祖先或后代時需要多次連接操作才能完成。
在關系型數據庫中,通常用閉包表(如表1所示)來存儲整棵樹的結構,用祖先(ancestor)和后代(descendant)兩個字段將樹中任意結點的祖先一后代關系對存儲于此閉包表中。因而在查找某結點X的祖先(后代)時,只需要在閉包表中搜索后代(祖先)是X的所有行的祖先(后代)字段對應的結點即可。
表1 閉包表

在NoSQL(以MongoDB為例)亦可采用閉包結構形式的集合來存儲產品結構樹中的結構關系。設集合RelationComplete用來存儲產品的結構關系,并且對它只做添加新記錄的操作。RelationComplete主要設有六個字段:編碼_id、參考referenceID、所屬產品ofProduct、后代descendant[]、祖先ancestor[]和類型Type。其中referenceID和ofProduct字段是內嵌文檔,包括相應參考結點編碼_id和名稱name兩個列;后代descendant[]字段是一個嵌入文檔的數組,包括后代的編碼descendantld、名稱name、類型type、層次pathLevel四列。字段層次pathlevel能更加清晰地記錄此后代結點與參考的祖先結點之間的間隔層數,其中,一個結點的直接子結點的pathLevel為1,再下一層為2,以此類推。集合RelationComplete結構如下所示:

在集合RelationComplete中,由于只有類型type為產品和部件的參考結點才可能有后代descendant[]字段,因而用戶在查找某產品中結點的祖先時,首先在所屬產品的記錄中后代descendant[]數組字段中查找此結點,然后將相應的參考結點按照此后代結點的pathLevel值進行排序;而在查找非葉子結點的后代時,直接查找其后代descendant[]數組字段中的所有記錄即可,故可一次地查出此結點在樹中的所有后代,較傳統RDB需多次查找的模式更為靈活。
3.2 產品結構樹的維護
產品結構樹的維護亦采用閉包結構來管理,更新時,只需更新變動的樹枝上的祖先一后代關系即可。產品結構樹的維護過程如圖4所示。

圖4 產品結構樹的維護過程
如圖4所示,在更新樹中結點X1的基本四種情況中,只需更新變動樹枝上X與T的后代信息,這里只考慮了更新樹中底層的情況,其它情況可基于此四種情況推演得出。
具體實現時,首先創建集合RelationChange用以保存結構樹更新時的臨時關系,其結構與RelationComplete相同,設有四個字段編碼_id、祖先(ancestor)、后代(descendant[])和類型Type,而后代數組字段記錄則相應地包含后代的編碼childld、名稱name、類型type。
3.2.1 插入節點
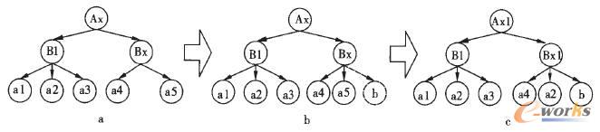
結點的更新必須同時更新其祖先及后代信息,如在樹Ax中添加一個葉子結點,則該結點祖先與后代的關系都需要更新,其過程如圖5所示。

圖5 添加葉子結點過程
如圖5所示,向樹Ax的非葉子結點Bx中添加一個葉子結點b,則零件a4、a5與b組成新部件Bx1,即其原父部件由Bx變成新部件Bx1,產品Ax則變成新產品Ax1。而在集合RelationChange中,第一步將集合RelationComplete中產品Ax內部祖先與后代的關系對復制到集合中,則集合RelationChange如下所示:


由于添加結點b時,a4、a5與b組成新結點Bx1,第二步則在集合RelationChange中插入一條關于Bx1的祖先與后代關系記錄,Bx1記錄如下所示:

第三步:在字段后代descendant[]中查找含有a5結點的記錄,插入Bx2以及Bx2的(除結點a4、a5以外)后代的信息。
第四步:將集合中信息中含有Bx的記錄刪除。
當添加一棵子樹(部件)時,首先將這棵樹內部的祖先與后代關系對從RelationComplete復制到集合RelationChange中,然后再將沿著此子樹所在產品結構樹中的位置向上遍歷的結點與子樹中的所有結點設置為祖先與后代的關系對,并插入到相應的集合中。
3.2.2 刪除節點
刪除葉子結點的過程如圖6所示,若刪除Ax中的結點a3,則其父結點B1變成B11(只有a1和a2兩個孩子結點),首先刪除集合中祖先結點為B1的記錄,并添加B11記錄;然后在集合的后代信息查找B1以及a3記錄,插入B11記錄,并刪除B1和a3記錄。

圖6 刪除一個葉子結點
刪除一棵完整的子樹X時,首先在集合后代descendant[]數組字段中刪除所有以X為后代的記錄,然后在集合中刪除樹X的記錄。在集合RelationChange中完成更新操作后,將更新信息添加到基本信息集合中,然后刪除集合RelationChange。當再次更新產品結構樹時,再創建集合RelationChange,如是在此集合中存儲的是正在更新的樹的相關信息。
4 結束語
本文以產品結構樹來描述產品的配置關系,分析了產品結構樹的結構特點,以及基于RDB的傳統PDM產品信息數據存儲結構,提出了利用NoSQL-MongoDB嵌入文檔的數組產品信息的新存儲結構模式,以及在運行時動態創建產品結構樹的新思路,較關系型數據庫建表的傳統模式更加便于管理產品的結構關系,且更利于產品結構樹的維護,為企業產品數據管理探索出一條更為廣闊的新視野。
核心關注:拓步ERP系統平臺是覆蓋了眾多的業務領域、行業應用,蘊涵了豐富的ERP管理思想,集成了ERP軟件業務管理理念,功能涉及供應鏈、成本、制造、CRM、HR等眾多業務領域的管理,全面涵蓋了企業關注ERP管理系統的核心領域,是眾多中小企業信息化建設首選的ERP管理軟件信賴品牌。
轉載請注明出處:拓步ERP資訊網http://m.sdyuan.com/
本文標題:基于NoSQL的PDM產品結構數據組織
























