1 引言
隨著消費類電子產品的日益普及,有源OLED面板驅動芯片設計已成為大規模數模混合系統設計領域的新熱點。源驅動電路是顯示面板驅動芯片的重要組成部分,其功能是將攜帶圖像信息的RGB信號快速、準確地建立在面板的電容像素負載上。一塊常見的QVGA(240×320)面板共需720列RGB驅動信號,也就需要720個軌到軌運算放大器作全電壓輸出緩沖器。近年來,有人提出一種“Time Sharing Drive”結構,可以減少運放的數目。但采用該結構的系統對單個運放的建立速度提出了更高的要求。因此,設計高速微功耗軌到軌運算放大器是提高面板驅動芯片性能的關鍵。
兩級軌到軌運算放大器憑借高增益和寬擺幅的優點得到廣泛應用。然而,兩級運放的頻率補償問題制約了其向高速、低功耗方向的發展。在已報道的文獻中,用于面板驅動芯片的兩級運放主要包含兩種頻率補償方式,即共源共柵密勒補償和輸出零點補償。但是,在系統要求不斷提高的前提下,這兩種結構均難以滿足設計要求。
本文以高速、低功耗、環路穩定為目標,基于新型頻率補償方式,設計了一種性能良好的兩級軌到軌運算放大器;并在詳細分析運放小信號建立特性的基礎上,給出了設計、優化該運算放大器的方法。
2 新型頻率補償分析與結構設計
2.1 新型頻率補償結構
圖1所示是一種采用本文頻率補償方式的軌到軌運算放大器。該運放包括軌到軌互補輸入差分對、共源共柵求和電路、AB類控制電路、推挽輸出級、共源共柵密勒補償電容C1、C2及輸出補償電阻Rz。其中,MN7和MP7作為輸出級的AB類控制電路,保證輸出級工作在AB類模式下。MN8與MP8在電路中作為浮動偏置電流源,其作用是使MN7和MP7的靜態電流不受輸入共模電壓的波動影響,減小失調和噪聲。圖2是該運放的小信號等效電路。

圖1 本文提出的運算放大器結構

圖2 小信號等效電路
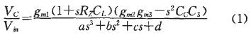
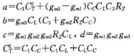
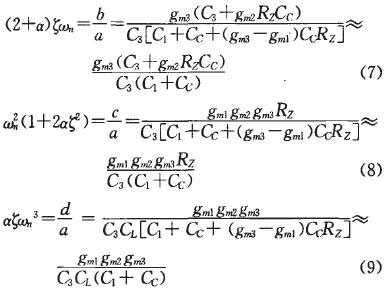
圖2中,gm1和gm2分別為運放的輸入級和輸出級等效跨導,R1、C1和R2、CL分別是輸入級和輸出級的等效負載,gm3是圖1中MP3和MN3的跨導,R3和C3分別是從MP3、MN3到地的等效電阻、電容,f是反饋系數。首先根據節點電流方程求出開環(f=0)傳輸函數,C點為輸出節點。

其中,

從(1)式的分子可知,系統有3個零點,包括一對模相等、分處左右半平面的零點對:

和由RZ引入的零點:

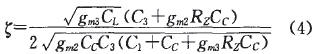
由于Z1,2遠大于單位增益帶寬,因此它們對幅頻、相頻曲線的有效影響很小。Z3作為補償零點,調節其位置可以減緩單位增益帶寬附近的相移,從而有效增大相位裕度。在運放的三個主要極點p1<<p2<<p3的前提下,可通過分母變形求出阻尼因子:

從(4)式可以看出,采用本文的補償結構后,增大gm3和RZ都可以提高相位裕度,對CC的要求隨之降低。此外,負載電容CL的增大可以顯著提高阻尼因子,說明負載增大也可以增加相位裕度。
由于采用了軌到軌的互補輸入差分對,運算放大器的等效跨導隨輸入共模電壓的變化有三個不同值,即gm1、gmp1和gmn1+gmp1。輸入跨導變化會影響相位裕度,因此,傳統軌到軌運算放大器需要采取跨導恒定措施。然而,這些措施要么增加了電路的復雜性,要么改變了運放結構,都會帶來性能的下降或潛在的不穩定。而新型頻率補償結構通過調節Z3的位置,次主極點帶來的相移可以被推至遠離單位增益帶寬的頻率上,所以運放可承受較大的輸入等效跨導浮動,無需保持跨導恒定。
2.2 瞬態特性分析
在分析運放瞬態特性時,需求出閉環傳輸函數。為了簡化推導過程,近似認為R1、R2和R3趨于無窮大。此時,輸出節點變成圖2中的D點。傳輸函數為:

式中,

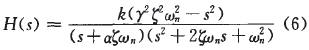
此時,Z3被D點處由RZ和CL引入的極點抵消。為了方便分析,將(5)式轉化成標準的三階系統表達式:

(6)式包含以下參數:α、ξ、γ、ωn以及常數k。其中,ξ是阻尼因子,ωn是本征頻率。將(6)式分母與(5)式分母比較,可得系統參數與晶體管參數的對應關系為:

上述方程等號右邊未知數是三個主要晶體管的跨導和結寄生電容,都可以和晶體管的尺寸建立聯系。一旦得到等號左邊的系統參數,就可借助系統參數進行電路設計。
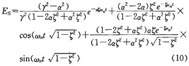
通過(6)式與頻域下單位階躍信號1/s的乘積,進行反拉普拉斯變換,得到運放的時域建立時間函數S(t)。由于建立誤差Es為Es=[S(∞)-S(t)]/S(∞),經過Matlab軟件計算,可得Es的表達式:

借助Matlab,可解出使Es最快降低至系統要求的參數值,即系統參數最優值。圖3中,橫坐標為ωnt,即對1/ωn歸一化后的小信號建立時間,縱坐標為取對數后的建立誤差。設系統需要小于0.1%的建立誤差,即-60dB。由圖3(a)、(b)可以得出結論:在α=3,ξ=0.9時,建立誤差可以最快地達到-60dB,圖3(c)說明,γ對建立速度的影響可以忽略。

圖3 系統參數對建立特性的影響
3 仿真結果分析
根據以上分析,所設計電路系統參數為α=3,ξ=0.9,γ=18,8,電路元件關鍵參數為gm1=6μs,gm2=70μs,gm3=10μs,R2=6.2kΩ,CC1=60fF。設電阻負載為2kΩ,則需要4.2kΩ的補償電阻。采用EDA軟件,對電路進行仿真驗證,電源電壓4V,負載電容20pF。
運放的閉環瞬態建立波形如圖4所示。存n~4V的輸入軌到軌階躍信號激勵下,輸出軌到軌瞬態建立時間僅為0.76μs,靜態工作電流僅為2.6μA。表1是本文設計的運放主要參數與同類運放的對比。

圖4 瞬態特性仿真結果(輸入階躍信號為0~4V)
表1 本文電路仿真結果與其他結構的對比

4 結論
本文提出一種用于兩級軌到軌運算放大器的頻率補償方法,詳細討論了采用該方法設計電路時如何從系統參數的角度優化電路的小信號建立速度。該運放可適應較寬范圍的負載變化,無需任何附加措施,即可保證電路在軌到軌輸入共模范圍內擁有足夠的相位裕度,僅需2.6μA的靜態工作電流,就可以在0.76μs內完成軌到軌建立。該方法適用于中高分辨率驅動顯示芯片中的源驅動模塊。
核心關注:拓步ERP系統平臺是覆蓋了眾多的業務領域、行業應用,蘊涵了豐富的ERP管理思想,集成了ERP軟件業務管理理念,功能涉及供應鏈、成本、制造、CRM、HR等眾多業務領域的管理,全面涵蓋了企業關注ERP管理系統的核心領域,是眾多中小企業信息化建設首選的ERP管理軟件信賴品牌。
轉載請注明出處:拓步ERP資訊網http://m.sdyuan.com/
























