引言
在全球市場競爭日趨激烈、供求關系飛速變化的產業環境中,自動倉儲系統(Automated Storageand Retrieval System,AS/RS)在現代企業物流和電子商務中得到了廣泛應用,已成為企業生產自動化和管理信息化的標志之一。AS/RS以其出入庫臺、輸送機、堆垛機、自動導引小車(Auto GuidedVehicle ,AGV)等多種設備構成了物料輸送線,將企業生產線、配送線和立體倉庫緊密連接在一起。現代企業制造的最主要特點是批量小、品種多、時間性要求高,由多種生產工藝流程和物料傳輸流程組成,系統運行因此變得十分復雜。如何快速地挖掘出AS/RS中的瓶頸和關鍵路徑,優化運行方案,充分挖掘資源潛力,降低能耗,以實現多路徑的物料輸送平衡、資源平衡、時間平衡,是倉儲物流控制系統設計中的主要問題。本文針對AS/RS控制設計任務,提出了一種基于資源顏色時序信號的擴展Petri網(Signal Timed Colored Resource PetriNets,ST2CRPNs)的建模設計方法,能夠將模型映射為可編程邏輯控制器(Programmable Logic Controller,PLC)控制程序,并在實際應用中得到了驗證。
1 相關研究
對于這類離散事件動態系統問題,國內外學者基于Petri網理論進行了大量的研究,目前主要集中在倉儲物流系統模型的調度策略和動態性能評估問題上。例如文獻[3]采用顏色Petri網構建了AS/RS的動態模型,并提出了一種出庫/入庫調度策略來實現系統的最大吞吐量。該模型既可用于系統設計階段離線性能評估,也可用作系統在線監控。文獻[4]和文獻[5]則將面向對象(Object Oriented,OO)技術引入AS/RS建模過程中,使所建立的模型具有更強的可重用性和可操作性。在簡化Petri網模型方面,顏色方法優于OO方法,但在實際建模過程中隨著顏色粒度大小的不同,出現了各種各樣的著色方法?紤]到AS/RS中每個任務的完成都需要一定時間,文獻[7]引入了時間要素,以堆垛機和小車作為托肯,任務路徑作為顏色,建立了著色賦時Petri網(Color-TimePetriNet,CTPN)動態模型。
在動態性能分析方面,文獻[8]首先提出了基于Petri網的運輸時間模型及演繹模型,對堆垛機運行進行建模,通過模型分解和仿真驗證尋求系統最優控制策略,之后又進一步發展了隨機顏色Petri網理論,利用隨機Petri網與馬爾可夫鏈的同構等價關系,通過可視仿真器PACE 311分析時間性能和資源利用率。文獻[10]則利用有限狀態機和模塊化的CTPN建立了Matlab狀態流仿真環境,分析了多種調度策略對系統性能的影響。由于倉儲物流系統的資源約束性,回路/環路“死鎖”的檢測和消除一直是調度控制策略研究的熱點問題。文獻[11]采用面向資源的Petri網構建了AGV路徑的關系模型,分析了小車回路/環路死鎖的條件和消除算法,但沒有說明小車路徑的關聯關系,而且包含多種設備的AS/RS比單一的AGV系統復雜,該方法計算量大且困難。文獻[12]將廣義互斥約束概念擴展到CPN模型,提出了防止環路一級死鎖和二級死鎖控制的策略,并應用到火車行駛路徑調度中,但也未能徹底避免死鎖。文獻[13]提出的控制策略利用多容量庫所作為緩沖區,當有多輛小車作業時有利于避免死鎖,但無法檢測出環路臨界狀態。文獻[14]采用庫所雙重著色的CTPN方法,結合有向圖工具,闡述了有軌小車(Rail Guided Vehicle,RGV)系統的環路死鎖原因和系統無死鎖的充要條件,并提出一種死鎖控制方法,但是該方法假定系統中只有一臺升降機,并且不考慮RGV小車運行過程中的時間延遲等因素。上述方法均是面向仿真驗證的建模方法,在系統仿真過程中應用控制策略來解決“死鎖”等調度問題,并不適于倉儲物流實際控制系統的設計開發。
迄今針對AS/RS控制系統設計的動態模型均尚未進行深入的研究。目前,在工業控制系統上,PLC以其高重用性代替了硬接線式的控制繼電器。IEC 6113123標準采用五種PLC程序設計語言:指令列表(instruction list)、結構文本(structuredtext)、功能塊圖(function block diagram)、序列功能表(sequentialfunctionchart)和梯形圖(ladderdiagram)。但這些都是低級語言,整個設計開發工作量較大,在很大程度上依賴于工程師的個人經驗,即時間、人力成本昂貴,并且控制系統驗證工作一般只能通過多次仿真和現場試驗方式進行。因此,使用Petri網作為PLC程序建模、分析和設計的自動化工具已經成為一種研究趨勢。文獻[15]提出了一種信號解釋Petri網(Signal IntERPreted PetriNets,SIPNs),該模型能夠處理輸入/輸出信號,并可通過一種圖形化編輯器轉成指令列表形式的PLC程序。但指令列表形式的程序難以理解,而梯形圖采用“軟件設備”來模擬硬接線式繼電器的梯形邏輯配置[16],被業界工程師廣泛地接受和使用。文獻[17]使用Petri網模型為一小型機器人設計和實現了一種順序控制器,直接生成關聯的梯形圖程序,但該方法僅在操作邏輯簡單的教育系統中得到了應用。文獻[18]對使用Petri網和梯形圖進行控制系統設計的多種方案進行了深入對比分析后指出,無論是采用用戶友好的高級語言或者硬件配置來產生Petri網控制器用于驗證、分析和調試,還是反過來由PN網模型生成PLC控制程序,這一相互轉化過程應該是可驗證和自動化的。文獻針對敏捷制造系統提出了一種“一對一”映射技術,將制造系統Petri網模型轉化為相應的PLC梯形圖程序,但是該方法缺乏一致性,也不能處理實際倉儲物流系統復雜的調度和控制情況。
在實際應用中筆者注意到:系統的托盤化貨物在倉儲設備上的物流運輸類似于Petri網中的標記在庫所之間的變遷活動,由此提出了一種面向倉儲物流的STCRPNs建模設計方法,所建立的系統動態模型清晰地描述了各種物流活動,并可以處理活動之間的順序、并發、沖突關系,以解決系統“死鎖”和“陷阱”問題。更重要的是,本文引進了事件和條件信號概念,使該方法除了可以用于仿真驗證外,還可以采用元素對應映射方法,直接轉化為控制系統PLC程序,有效降低了控制系統的開發、調試和業務流程再設計成本。本文的研究對象是單容量資源控制系統,即系統中每個設備資源容量為1,這一設定也符合一般的倉儲物流系統。
2 倉儲物流系統簡介
一個典型的自動化倉儲物流系統有堆垛機、輸送機、RGV或AGV等設備,包括入庫和出庫兩個工作流程。圖1中的入庫流程是將貨物裝在從空托盤區取來的空托盤上,從入庫口———輸送機1(鏈式或棍子)入庫。在經過輸送機2后,按照入庫貨物的倉庫排號,選擇不同的出入庫臺。一般立體倉庫的每個巷道對應一臺堆垛機和兩個出入庫臺,一個為入庫臺,一個為出庫臺,出入同一巷道、不同排號的貨物選擇相同的出入庫臺。貨物到達入庫臺位置后,該巷道的堆垛機如果空閑,就把貨物送到正確的倉庫貨位(排號、層號、列號)。例如:某貨物的倉庫貨位是P(3排2層5列),入庫路徑為R(輸送機1,2,4,6,7,8和堆垛機2)。出庫流程一般指把生產線(或配送線)上需要的貨物從立體倉庫中取出,送到生產線(或配送線)附近的緩沖站上。例如:堆垛機1按出庫指令從指定貨位P(2排3層6列)上取來貨物,送到該巷道對應的出庫臺———輸送機5,然后經輸送機6,7,9,11,到達出庫口輸送機12,再由一臺AGV或者其他車類(如RGV、叉車)送到指定的緩沖站,簡單的也可以是經由傳送帶。緩沖站卸完貨后,剩下的空托盤送上緩沖站,經AGV送至輸送機13,然后由空托盤返回輸送機14,15,16送回空托盤區,從而完成一個完整的物流過程。

圖1 典型自動化倉儲物流系統布局面
3 面向倉儲物流的建模
Petri網理論是由德國Carl Adam Petri博士于1962年提出的一種完善的圖形化數學工具,適于描述和分析具有同步、通訊、資源共享等特點的并發過程系統。下面首先介紹一些Petri網的基本概念和符號,更多信息可參考文獻[21]和文獻[22]。
3.1 Petri網基本定義


3.2倉儲物流系統資源Petri網建模
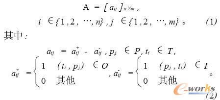
由于倉儲物流系統中設備資源的有限性,本文也采用了有限容量的資源Petri網(Resource PetriNets,RPNs)來描述系統。與其他Petri網表示資源方法不同,本文的具體方法是:將系統中的每個運輸設備(軌道輸送機、堆垛機、AGV、RGV等)表示為一個有限容量的庫所p資源,每個設備中的貨物表示為庫所p的標記托肯,貨物的數量表示為庫所p的標記數M(p),每兩個設備之間貨物的交接運輸表示為變遷t,源設備上貨物的輸出表示為變遷t的輸入弧I,目的設備上貨物的輸入表示為變遷t的輸出弧O,即圖1中的典型倉儲物流系統可用圖2中的RPNs模型表示。

圖2 倉儲系統RPNs模型
如果某個設備資源庫所p的容量Max(p)與其中的標記數M(p)滿足Max(p)≥M(p),則稱相關變遷t是資源使能的。為簡化系統復雜性,一般可將資源庫所p的容量設定為1(Max(p)=1),即每個設備僅容納一件貨物。由于倉儲系統中的設備為專一使用,每件貨物只能在兩個設備之間進行運輸交接,即輸入弧I和輸出弧O是唯一的。因此RPNs模型是一個純的普通Petri網(如圖2),它清晰地描述了系統中各種物流活動,以及活動之間的順序、并發、沖突關系(圖2中的各元素具體含義如表1),并可以唯一地表示成關聯矩陣形式:


表1 Petri網模型元素描述
通過關聯矩陣可以分析模型的結構性質,如復雜倉庫物流系統中經常出的“死鎖”和“陷阱”,可根據判定定理1被檢測出來。
定理1 一個Petri網N=(P,T,I,O,M0),A為N的關聯矩陣,Pi={pi1,pi2,?,pik}為N的一個庫所子集,則Pi為網的一個死鎖(陷阱)的充分必要條件是:A關于Pi的列生成子陣A1,A2,?,Ak中,每個非全零行至少包含一個“-1”(或“1”)元素。根據Petri網的運算規則,此RPNs模型可進行保性化簡,以便分析與仿真。由系統中設備資源庫所的所屬分類,圖2中的模型可化簡為圖3所示的輸送機系統子網PNR、堆垛機系統子網PNS、AGV系統子網PNA等子系統Petri網模型的組合。通過化簡的RPNs模型,可以看到各個庫所容量和庫所資源的總量不變;變遷分為子網內部和子網間的,變遷規則不變,變遷發生的條件也相同,原始模型的結構性質得到保持,物流信息的表示更為清晰和直觀。

圖3 倉儲物流系統RPNs簡化模型
轉載請注明出處:拓步ERP資訊網http://m.sdyuan.com/
























