基于TRIZ與實例推理原理的產品綠色創新設計方法(一)
3 基于TRIZ的綠色設計沖突消解
如果案例庫中沒有找到相似案例,那么需要利用TRIZ來解決產品綠色設計過程中遇到的沖突,從而實現產品的綠色創新設計。基于TRIZ的綠色設計沖突消解,需要先將綠色設計屬性轉化成TRIZ沖突矩陣的工程參數(表5),然后根據工程參數利用TRIZ沖突矩陣表獲得發明原理。在綠色設計屬性向TRIZ工程參數的轉化中,把世界企業可持續發展委員會(world business council for sustainable development,WBCSD)提出的7個環境效率要素與TRIZ的工程參數相關聯,建立了環境效率要素與TRIZ工程參數的關聯表。在此基礎上,筆者建立了綠色設計屬性與TRIZ工程參數的關聯表(表6),可方便、快速地將綠色設計屬性轉化為TRIZ工程參數。考慮產品設計的實際情況,可能會出現無法確定TRIZ工程參數和遇到空矩陣(沒有發明原理)的情形,此時可以利用方法解決該問題。
表5 TRIZ沖突矩陣的39個工程參數

表6 綠色設計屬性與TRIZ工程參數的關聯表

4 創新方案可行性評價
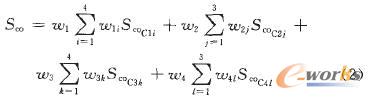
創新方案的可行性評價有兩個作用:第一,作為過濾指標的評價結果;第二,可能有多個創新方案可以實現設計沖突的消解,因此需要對創新方案進行可行性評價,選取最優的方案給予實施。綠色產品創新方案的可行性評價矩陣如表7所示,用Sco表示綠色產品創新方案的可行性評價結果:

式中,W1、W2、W3、W4分別為指標C1、C2、C3、C4的權重;W1i、W2j、W3k、W4l分別為子指標C1i、C2j、C3k、C4l的權重;Scoc1i、Scoc2j、Scoc3k、Scoc4l分別為子指標C1i、C2j、C3k、C4l的評分。
表7 產品綠色設計創新方案的可行性評價矩陣

采用打分法對各指標進行評估,各指標的評分范圍為1(差)~9(優)。指標權重由模糊層次分析法(fuzzy analytic hierarchy process,FAHP)確定。
5 實例研究
筆者以上述方法為基礎,利用可擴展標記XML語言,開發了產品綠色創新設計支持平臺(其基本框架組成如圖8所示),用于綠色產品的開發,以某型號洗碗機零部件為例闡述創新過程。

圖8 產品綠色創新設計支持平臺基本框架組成
洗碗機屬于EuP(eco-design requirements for energy- using products directive)指令監管的第十四類產品,因此對產品綠色性能有較高的要求。產品維修商和回收商對洗碗機底板的拆卸性提出了要求,洗碗機銷售商要求廣東某洗碗機制造企業改進其出口洗碗機底板的拆卸性能,使其能夠實現非工具拆卸,并且成本變動范圍要小。洗碗機的關鍵零部件(如水杯、洗滌泵和電熱管等)位于洗碗機底部,原洗碗機的底板與下前橫檔和側板用螺釘連接(圖9)。改進前的拆卸順序為左右側板→前提腳板→下前橫檔→下后橫檔→底板,而且洗碗機經長時間使用后螺釘容易銹死,因此不便于洗碗機的維護和維修以及廢棄后的拆卸回收處理。

圖9 底板零件的三維模型及其連接關系
首先運用產品綠色創新設計支持平臺的實例檢索模塊,通過借鑒以往成功案例的經驗對洗碗機進行改進。為了借鑒其他類別產品的設計知識,擴大實例檢索范圍,不限定產品類別、功能等參數,將材料設定為“鋼材”,將綠色設計原則設定為“拆卸設計”,設計屬性設定為“連接類型”。為了滿足成本和拆卸性能的要求,在過濾條件中,將拆卸性能和經濟性設定為“很好”,技術性能和回收性能設定為“良好”,然后進行實例檢索。從實例庫中搜索出的實例為電腦機箱側板,特征是將螺釘連接改為卡槽連接,實現了非工具手工拆卸,目前卡槽連接在很多產品中得到廣泛應用,技術十分成熟,因此本文借鑒該類型實例。
主機箱側板的卡槽不承受主機箱的重量,主要保證連接的可靠性,而洗碗機底板需要承受洗碗機以及餐具的重量,其強度要求較高,需要對原有實例進行修改后再用。利用TRIZ對原有實例進行修改,可將其對應為改善的工程參數N014“強度”,惡化的工程參數Noll“應力或壓力”。調用基于TRIZ的沖突消解模塊對這一技術沖突進行問題求解,發現可采用發明原理3“局部特性”來進行求解,即將一物體或外在環境(動作)由相同成分組成的結構轉變成由不同成分組成的結構。由此產生的綠色創新方案即在底板的左邊和右邊增加卡槽,使其共同承擔洗碗機的重量,從而改善底板應力狀況。為了驗證改進后底板的可靠性,在Abaqus的環境下進行應力分析,卡槽受到的最大應力為286MPa,小于底板材料的抗拉強度500MPa,滿足強度要求。改進后,只需將洗碗機底板直接從洗碗機底部抽出就可完成拆卸操作。
利用表7對綠色創新設計方案進行評價,其評價結果見表8。根據各評價指標的最大值和最小值以及表4中的語言變量,建立語匯轉換標準,將評價結果轉換為評價語匯。最后根據綠色設計實例存儲結構將該設計案例存儲到數據庫中。
表8 綠色產品創新方案的可行性評價

6 結語
(1)將TRIZ與實例推理方法有效地集成,提出了基于TRIZ與實例推理原理的產品綠色創新設計方法,能夠很好地實現產品綠色創新設計。
(2)以本體論為基礎,結合TRIZ工具,給出了綠色產品設計實例的描述模型和檢索模型,實現了綠色產品設計實例的檢索、重用和修正。
(3)建立了綠色設計屬性與TRIZ工程參數的關聯表,便于設計人員將綠色設計屬性轉化為TRIZ工程參數,縮短綠色創新設計的時間。
核心關注:拓步ERP系統平臺是覆蓋了眾多的業務領域、行業應用,蘊涵了豐富的ERP管理思想,集成了ERP軟件業務管理理念,功能涉及供應鏈、成本、制造、CRM、HR等眾多業務領域的管理,全面涵蓋了企業關注ERP管理系統的核心領域,是眾多中小企業信息化建設首選的ERP管理軟件信賴品牌。
轉載請注明出處:拓步ERP資訊網http://m.sdyuan.com/
























