隨著人類社會的不斷進步,科學技術日新月異,當今世界進入一個嶄新的時代一知識經濟時代,科學技術成為第一生產力,而人作為信息、技術、知識的載體則是推動經濟增長的關鍵因素。事實上,早在18世紀英國經濟學家亞當·斯密就曾在《國富論》中指出:“在社會的固定資本中,可提供收入或利潤的項目,除了物質資本外,還包括社會上一切人民學得的有用才能”。其后,許多西方經濟學家對人力資源展開了深入的研究,人們也越來越鶯視人力資源對國民經濟增長、對企業生存與發展的重要性。在我國,黨中央已把人才投資與開發作為經濟建設工作的重中之重,提出了“人才資源是第一資源”的科學判斷,國與國之間的競爭已演變為人才的競爭。對微觀方面的企業來說,人力資源價值主要體現在其未來的長期超額獲利能力上。沒有高素質的人力資源,企業是不可能獲得超額收益能力的,因此,在激烈的市場競爭中求生存、求發展,人力資源的數量和質量具有舉足輕重的作用。通過對人力資源價值的評估,可以使企業更加重視人力資源的作用。同時,企業為了保留和爭取人才,實現自身的長遠發展,必然加大對人力資源的投資,如提供在職培訓,加強崗位教育等,提高員工隊伍的整體素質。只有這樣,才能為企業的長遠發展,效益提高奠定堅實的人才基礎。
如何利用國內外人力資源價值評估的研究成果,對人力資源價值進行綜合評估,是一個越來越緊迫、重要的課題。國外對人力資源價值的評估方法研究歷史較長,提出了許多人力資源價值評估的模型,取得了一些得到大家認可的研究成果。但是這些方法計算極為繁瑣,實際操作性較差,不利于普及和推廣;有些簡單計算方法多為預測估算,有很大的不確定性,不易被人們所接受。本文在分析總結國外人力資源價值評估方法研究的基礎上,提出基于實物期權的人力資源價值評估方法,與現行的人力資源價值評估方法相比較,具有更強的準確性和可操作性。
一、人力資源價值影響因素及價值評估
人力資源的價值,從個體的角度來講,就是勞動力的價值。根據馬克思主義的理論,勞動力是一種特殊的商品。作為商品,勞動力也具有交換價值和使用價值。馬克思曾指出:“勞動力的價值,是由生產、發展、維持和延續勞動力所必需的生活資料的價值來決定的”。馬克思所闡述的“勞動力的價值”是勞動力所創造的必要勞動價值,也就是人力資源的交換價值,可稱為狹義的人力資源價值。勞動力作為商品也具有使用價值,與其它商品不同的是勞動力商品有特殊使用價值。勞動力在消費過程中即在勞動過程中能創造出比自身價值更大的價值,也就是說它能夠創造價值和剩余價值。人力資源的必要勞動價值是決定人力資源價值的依據和基礎。人力資源的使用價值應該是勞動力的必要勞動價值和剩余勞動價值之和,可稱為廣義的人力資源價值。
正如人力資源明顯地不同于其它資源一樣,人力資源的價值也具有其獨特的一面。其價值應該包含四個方面:基本價值、使用價值、補償價值、新增價值,這是從不同角度來分析確認人力資源的價值。四者之間,只有具有一定的基本價值才能在一定程度上轉化為使用價值。使用價值高于補償價值才能獲得新增價值,要使新增價值增加,就要提高人力資源的使用價值,相對減少補償價值,在單位時間內生產出更多的商品。可見,在人力資源的四種價值中,使用價值是最重要的,它使基本價值具有社會意義,是決定補償價值和新增價值的關鍵。企業對人力資源的價值評估時,則更關心的是人力資源的使用價值。
人力資源價值的影響因素可以從兩個方面來分析:一是內在因素,二是外在因素。內在因素是指影響人力資源本身素質和潛在勞動創造能力的因素,主要由勞動能力和自身努力程度構成;外在因素是指人所處的環境對于人力資源能力的發揮的影響。影響人力資源價值的內在因素主要是從人力資源的載體一人出發來研究對于人力資源價值有影響的因素,主要有三個影響因素:基本素質、知識積累和社會經驗積累。
影響人力資源價值的外在因素影響人力資源價值的外在因素要復雜一些,主要有四個因素:組織結構、領導方式、角色地位和社會環境。了解影響人力資源價值的內外因素可以便于我們剔除不良因素的影響,充分發揮人力資源價值。
(一)人力資源價值評估的必要性
現實經濟生活中,以企業家或管理人員價值投資入股的現象越來越多,企業對有貢獻的管理人員和技術人員以股權或期權等方式進行獎勵也越來越普遍;當企業進行整體資產交易時,買賣雙方的勞動力組合效益是有差距的,尤其是高科技行業與技術性較低的行業,這種人力資源的差距非常明顯,而且這種差異對企業以后的發展會產生持續的影響。由此可見,作為唯一能動的、活的資源,人力資源價值如果在交易過程中不予考慮,會降低社會資源配置的效率,形成產權交易和各類資本業務的誤區,損害當事人的權益。特別是在人力資源密集、知識密集型的企業,人力資源是其決定性資源。人力資源價值的高低直接決定著企業效益的好壞,對人力資源價值進行正確評估就顯得尤為重要。
人力資源價值主要體現在其未來的長期超額獲利能力上,沒有高素質的人力資源,企業是不可能獲得超額收益的。因此,要想在激烈的市場競爭中求生存,求發展,人力資源的數量和質量具有舉足輕重的地位。通過對人力資源價值的評估,可以使企業更加重視人力資源的作用。才能為企業的長遠發展,效益提高奠定堅定的人才基礎。
目前,人力資源被認為是企業擁有巨大經濟價值的資源日益受到重視,而人力資源價值評估理論和實踐則顯得相對滯后,從而導致長期以來對企業資產重要組成部分的人力資源沒有進行量化研究。以至使許多由企業培養的、掌握先進技術和技能、具有豐富管理經驗的企業員工自身的價值得不到充分體現而無償地流入其他企業,造成了很大損失。隨著社會主義市場經濟體制的逐步確立和日趨完善,人力資源在企業總資產中所占的比例會越來越大,對人力資源價值評估的要求也越來越多。對投入的人力資源價值進行了評估,在很大程度上防止了國有資產的流失。
(二)人力資源價值評估的可行性
人力資源由于畢竟是一項特殊的資產,它的評估不同于一般資源,要求實施的客觀條件較為苛刻。我國與發達國家相比,在人力資源價值評估要求上雖然還有不足之處,如資本市場人為因素影響較大、價值核算需要的基礎數據資料不完整等,但經過多年的經濟改革與發展,也已具備了可行條件。
首先,寬松的人才流動政策及有序的專業技術職稱管理,為我國推行人力資源價值評估創造了條件;觀念的更新也為人力資源價值評估奠定了思想基礎;我國多年已經開展的人力資源管理活動也為進一步研究人力資源價值評估提供一定的數據及方法。其次,國外豐富的人力資源會計研究奠定了我國人力資源價值評估的理論基礎。第三,隨著人類經濟活動的不斷擴展與深入,各類學科領域的研究結果也不斷地相互影響與促進,尤其是數量管理理論的發展對經濟領域的研究起著十分重要的推動作用。現代管理數學與評價方法的研究為人力資源價值評估提供了定量模型,從而量化了人力資源,為人力資源進行價值評估、效益分析提供了必要的幫助。
總之,人才在企業中的作用日益突出,人才要求超額回報的愿望也日益迫切。尊重人才,發揮其特殊功能的有效途徑之一,就是盡快、正確地進行人力資源會計核算,尤其是人力資源價值評估。目前,我們已經具備了實際應用的主觀和客觀的條件,企業中進行人力資源價值評估勢在必行。
二、現行人力資源價值評估方法對比分析
目前對于人力資源的價值評估方法可分為定性評估和定量評估兩種。本文將會對定量的人力資源價值評估方法進行綜合比較分析和評價。
(一)經濟價值法
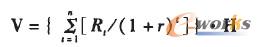
1.經濟價值法又稱為“企業未來收益模式”,由弗蘭霍爾茨、布魯密特和帕利等人于1968年提出。他們認為人力資源價值在于其能夠提供未來收益,人力資源價值的評估應包含在未來收益的預測中。這種觀念認為,企業除人力資源外其他因素也能給企業帶來收益,并假定物力投資和人力投資在企業創造收益過程中所發揮的作用與他們各自占總投資(由人力投資和物力投資構成)的比率是保持一致的。因此,將企業未來各期的收益折現加和,然后按照人力資源投資占全部投資的比例,將企業未來收益現值中人力資源投資獲得的收益部分作為該企業整體人力資源的價值。其計算公式為:

在具體運用該方法時,需要合理確定計算年限T、折現率r、計算年限內企業未來收益Rt和人力資源投資率H等參數。各參數的準確性直接影響評估的準確性。
2.對該方法的評價。經濟價值法以企業未來預期收益作為評估的基礎,在評估企業整體人力資源價值時,注重人力資源投資在整個企業投資中所占的比例。運用上述公式在評估企業整體人力資源價值時,可以將人力資源和物力資源對企業收益的貢獻進行比較,以使企業將有限資金用于最佳決策。同時可以幫助企業管理人員了解企業的人力資源在未來的一定時期可能為企業創造的經濟盈余,有利于企業進行投資報酬分析,采取更有利的措施進行人力資源管理。
該方法同時存在一定的局限性。主要表現在:
其一,企業未來凈收益是一個預測的數值,預測的準確性受諸多不確定因素的影響,從而使預估的數據帶有一定的主觀性和不確定性。因此人力資源價值的評估不可能做到絕對精確,而只能是無限接近其實際價值。其二,這一模型構建的假設條件是物力投資和人力投資在企業創造收益過程中所發揮的作用與他們各自占總投資的比率是保持一致的,但這一假設的合理性一直存在爭議。由于人力資源所特有的主觀能動性和創造性,不能說人力資源的價值與其投入成一定的比例關系。其三,該方法將企業未來收益現值按人力資源投資率分配的一部分作為企業整體人力資源價值,是一種不完全價值的計量,它低估人力資源的價值。假設某企業經專家預測未來n年中有可能發生虧損,那么用這種方法評估出來的企業人力資源的價值也為較小的值或負值。企業整體人力資源價值為零或為負值,意味著企業人力資源不具備創造價值的能力,顯然是不合理。因此,以企業未來收益為評估基礎未能反映出人力資源的全部價值,它僅反映了人力資源的部分價值,即企業整體人力資源創造的剩余價值中轉化為企業收益的那部分按人力資源投資比例確定的部分價值。
(二)非購入商譽法
1.非購入商譽法最早在1969年由美國的赫曼森教授提出。他認為,企業過去若干年中累計超過同行業平均收益的一部分或全部都可看成是人力資源創造的,這部分超額利潤應通過資本化程序確認為人力資源的價值,這就是商譽法的原理。因這種方法與企業確認非購入商譽價值的方法相類似,所以將其稱為“非購入商譽法”。其計算公式為:
人力資源的價值=本企業實際凈收益/行業投資報酬率-企業非人力資源總資產
該公式表明,將行業投資報酬率與本企業實現的凈收益相比折算的資產,與企業實際占用資產之間的差額即是企業全部人力資源的價值。
2.對該方法的評價。非購入商譽法主要用于評估企業整體人力資源價值。這種方法將企業獲得的超過同行業平均利潤的超額利潤,按照資本化程序確認為人力資源價值。它是以每年的實際收益數額為基礎,因而無需預估未來收益,與前面的方法相比具有更大的客觀性,比較接近于現行會計慣例,具有一定的可操作性。另外,該方法考慮到了企業人力資源和同行業人力資源之間存在的差異,可用于同行業中不同企業整體人力資源價值的比較,可為外部投資者提供整體人力資源價值方面的信息。
同時,該方法也存在以下不足之處:
其一,這一方法的前提條件是企業實現的凈收益要高于同行業平均收益,即企業存在超額利潤,因此,并不是所有的企業均能采用這一方法來評估企業的整體人力資源價值。如果企業不存在超額利潤甚或虧損,運用這一方法計算出的該企業整體人力資源就沒有價值或為負價值,顯然是不合理的。其二,這種人力資源價值的評估方法僅將企業獲得的超額利潤確認為企業整體人力資源價值,是一種不完全價值的評估方法。它僅反映了整體人力資源的部分價值,即企業整體人力資源創造的剩余價值中轉化為企業超額收益的部分,而沒有反映整體人力資源全部剩余價值和整體人力資源的交換價值。
(三)未來凈產值折現法
1.1996年,文善恩先生提出一種計算人力資源整體價值的“未來凈產值折現法”。該方法認為,按照馬克思主義的經濟理論,人力資源價值的評估基礎應當是企業凈產值。按照剩余價值理論,商品的價值包括三個部分,即物質資料的轉移價值(c),必要勞動時間創造的新價值(y)和剩余勞動時間創造的新價值(m)。其中,c是物質資源的價值,(v+m)是活勞動創造的新價值。從理論上講,(v+m)就是人力資源的價值,而經濟實務中,(v+m)表現為企業的凈產值。凈產值數據可以從統計資料中方便地獲得,可使評估工作具有可靠的數據支持,在實踐上是可行的。
文善恩在借鑒經濟價值模型的基礎上并對其缺點進行兩方面的改造,改造后其數學模型如下:

2.對該方法的評價。該模型主要用于評估企業整體人力資源價值,以企業凈產值為基礎,綜合考慮了整體人力資源的交換價值和剩余價值,從理論上講,反映了整體人力資源的全部價值,可以提供企業整體人力資源價值的完全信息,能夠滿足企業內外部利益相關者對企業整體人力資源價值信息的需求。
同經濟價值法,該模型也采用折現計算的方法,有著共同的局限性,即帶有一定主觀性和不確定性,不可能絕對精確評估整體人力資源的價值。應該注意到,企業的稅金和利息支出部分也是人力資源創造的價值的一部分。所以僅以工資和利潤總和來計算凈產值會低估人力資源的價值。
(四)當期實現價值模式
1.當期實現價值模式是由長沙交通學院李世聰在2001年提出的。他認為人力資源的當期價值應該是企業對人力資源當期投入的成本和人力資源當期創造的新價值之和。人力資源當期投入的成本屬于它的直接成本,是為取得、開發、保全不同等級人員的使用價值而發生的成本。為了把人力資源作用效果和物力資源作用效果區分開,該模式利用多組柯布——道格拉斯生產函數,聯立方程組,確定人力資源貢獻率。
V=L+(OP+RI)×H
2.對該方法的評價。人力資源當期實現價值為人力資源投入成本和人力資源所創造的新增價值之和,體現了剩余價值理論思想,理論依據充分,是對以前評估方法的重要突破。人力資源投入成本和企業營業利潤、投資收益以及H比例等模式所需全部數據均可根據現行核算資料計算求得,因此模式計算方便,有可操作性。當期實現價值法沒有考慮壟斷的影響,如果企業的超額利潤是由企業的壟斷地位創造的,那么該方法就會虛增人力資源的價值。當期實現價值法通過選取三年有代表性的數據,求解三個二元方程組,從線性代數的角度看,存在三個解的可能性。
“經濟價值法”、“非購入商譽法”和“未來凈產值折現法”是建立在人力資源的未來價值或企業未來資產折現方法上的,在對傳統生產型企業的人力資源群體價值評估過程中顯示出很大的優勢,在實際工作中發揮了重要的作用。但是隨著知識經濟時代的到來,人的思維能力和知識水平在企業財富創造中的地位不斷提高,這類方法在對知識密集型企業的人力資源群體價值進行評估時則有很大的局限性。本文在借鑒國內外的主要評估方法的基礎上,將人力資源作為一項看漲期權,通過構造實物期權,并運用期權定價理論,從全新的角度對人力資源價值進行評估評估。
三、構建基于實物期權的人類資源價值評估模型模型
人力資源群體在分工與合作中很難通過具體的指標進行量化,更多的時候是以不確定的形式表現出來的思想方面的溝通和碰撞。這種溝通和碰撞的產出結果也是多樣的,從某種角度來講這種結果為企業帶來的收益是呈正態分布的,出現任何一種結果都是可能的,其區別只是概率的大小而已。企業對人力資源的取得實際是執行了看漲期權,由于新的人力資源的投入,使企業在經營管理及技術創新等方面得到加強,經過一段時間后,效益得到提高,股價上漲,企業價值顯著提升。相對企業支付給人力資源所有者的報酬一人力資源價值的補償,等于到期執行這一特殊期權的價格。
從另一角度來看,看漲期權是持有者在某一確定時間以某一確定的價格購買標的資產的權利。企業作為人力資源的買方,預先支付給人力資源所有者一定的定金,在到期日時,如果人力資源市場價格大于企業支付給人力資源所有者的報酬,企業就可以考慮行使該權利,購買該標的資產,即雇傭該職員;反之,企業可以選擇放棄權利,即不雇傭該職員。根據看漲期權在企業人力資源投資中應用,得出期權定價評估模型。
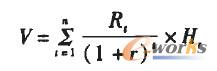
(一)構建期權定價評估模型:

公式中ΣV指的是被評估對象的未來價值,即人力資源的未來收益折現值。它可以根據人力資源投資占全部投資比例,將企業未來收益中人力資源投資獲得的收益部分作為人力資源的價值。公式中Σc指代人力資源價值中隱含的實物期權的價值。
(二)期權定價評估模型的應用
某企業是成立多年的高新技術企業,現由于業務的需要預招聘一批技術人員,若這批技術人員給企業帶來的收益前景十分樂觀,五年之后將繼續招聘第二批技術人員。根據市場預測第二批技術人員的投資假設為200萬元,他們的加入將使公司連續五年每年增加100萬元的現金流量。一年期銀行存款利率為2.52%,行業風險率4.72%,通貨膨脹率1.03%,無風險利率分別為10%,第一批技術人員的價格方差為40%。現評估第一批技術人員前五年的人力資源的價值。
把該企業過去五個完整年份的歷史財務數據綜合分析,根據回歸方程可計算得到今后五年利潤及職工投資占總資產的比例,詳見表1:
表1 企業利潤及人力資源投資占總資產的比例

(1)ΣV的計算過程

ΣV=1.8 X0.1455/(1+10%)+1.661×0.1506/(1+10%)2+..+178.6×0.1659/(1+10%)5=180.2萬元
(2)ΣC的計算過程
公司投資于第一批技術人員相當于購買了一個可以在5年后招聘第二批技術人員的看漲期權,五年后招聘第二批技術人員的前提是投資的第一批技術人員,這一機會可看作是一個擴張期權。Black-Scholes期權定價模型是實物期權計算的基礎,可簡單地應用這一模型評估企業人力資源的實物期權價值。投資于第二批技術人員的200萬元相當于期權執行價格,即X=200萬元;每年100萬元的現金流在初始時刻折現后計算得235.38萬,相當于標的價格,即S=235.38萬元;期權的有效期為5年。
dl=1.1758:d2=-0.2384
N(d2)=0.8802;N(d2)=0.4058

=235.38×0.8802-200×e(0.1 X5)X0.4058=157.955萬元
即該企業人力資源的實物期權價值為157.955萬元。
(3)高新技術企業B的第一批技術人員前5年的人力資源總價值為:
Vt=ΣV+ΣC=180.20+157.96=338.16萬元
(三)與經濟價值法評估模型的比較
(1)使用實物期權定價模型對企業的人力資源價值評估結果為338.16萬元。
(2)使用對高新技術企業B的人力資源價值進行評估:

=161.8×0.1455/(1+10%)+1.661×0.1506/(1+10%)2+..+178.6 X 0.1659/(1+10%)5=180.2萬元
(3)評估結果比較分析
本文所評估的案例,利用實物期權評估模型評估出的人力資源價值為338.16萬元,采用經濟價值法評估出的人力資源價值為180.2萬元。利用兩種不同的方法評估出的人力資源的價值存在很大差別。這主要是因為采用經濟價值法沒有評估出的人力資源的靈活性的價值,且使用的折現率是由無風險利率、風險報酬率和通貨膨脹率這三部分組成,而他們的獲得是建立在市場發展并沒有達到理想的狀態,這使得最終的折現率不能夠真正反映公司的風險情況,評估的結果偏差較小。采用期權定價評估模型評估企業的人力資源價值,綜合考慮公司所處行業的發展情況,將其靈活性很好的評估出來,使評估的結果更趨近于實際情況。給投資決策者提供更正確的決策依據。
(四)對實物期權人力資源價值評估方法的評價
1.隨著服務時間的延長,知識的不斷積累,技能的不斷提高,人的價值是不斷增大的,但是到了某些時候,其價值又會下降。從整體上看,它類似于正態分布,期權定價法充分應用了這一點。
2.風險中性的假設,可以降低評估中風險,不必作太多的估計。同時,它采用累加概率,使得評估的不確定性大大減少,從而使評估的結果更加客觀準確。
3.實物期權評估法主要是針對人力資源的使用權,它充分考慮了人力資源的使用權與所有權相分離的特點,因而就更符合實際。
四、總結及展望
未來的經濟發展中,人力資源價值評估是一個必然的趨勢,人力資源價值評估的方法將會更高效的解決經濟活動中出現的問題。通過引入實物期權思想,將人力資源視為企業持有的一項期權,利用期權定價評估模型對其價值進行評估,最終評估出其價值,該方法計算簡單,可操作性強,評估結果更加準確,更加合理,有利于管理者在高度不確定下更睿智地做出投資決策。但是實物期權在人力資源價值評估中應用時,需要借鑒傳統的人力資源價值評估模型計算企業人力資源價值的凈現值,自身不可避免的存在著一些缺陷。同時企業在引用人力資源的時候所付定金的多少對企業的損益都會有影響,這些問題也應考慮到人力資源價值中。由于我國市場經濟的不完善,資本市場的有效性不高,實物期權價值的計算雖然能夠彌補一些傳統人力資源價值評估模型的缺陷,但計算過程中所使用的因素有一定主觀性和不確定性,使最終計算的結果與實際情況有一定偏差,這些問題在當前的經濟條件下是不可避免的。
核心關注:拓步ERP系統平臺是覆蓋了眾多的業務領域、行業應用,蘊涵了豐富的ERP管理思想,集成了ERP軟件業務管理理念,功能涉及供應鏈、成本、制造、CRM、HR等眾多業務領域的管理,全面涵蓋了企業關注ERP管理系統的核心領域,是眾多中小企業信息化建設首選的ERP管理軟件信賴品牌。
轉載請注明出處:拓步ERP資訊網http://m.sdyuan.com/
本文標題:知識經濟時代下人力資源價值評估
























