1 引言
RCM是國際上復雜工業領域廣泛采用的維修優化和管理方法之一。然而,目前在全世界對RCM經濟效益的評估,一般僅僅局限于直接的經濟效益評估,計算原來不需要的預防性維修項目所節約的維修費用,這存在著一定片面性。因為RCM分析的主要目的是提高復雜工業設備的可靠性,而不是降低維修成本。在RCM經濟效益評估中,取消項目的經濟效益是次要的,主要的經濟效益是通過維修優化,設備可靠性方面得到了提高,并帶來了經濟效益。
在實際RCM效益評估過程中,主要難點在于:
(1)設備增加的維修優化項目主要用于預防以前沒有考慮到的故障模式,而該故障模式的發生概率,比較難于確定。
(2)對于設備隱蔽性故障,則需考慮多重故障發生的概率,更加難以確定。
(3)傳統的經濟評估方法,計算的工作量非常大,在核電站推廣應用比較困難,且沒有現實意義。
復雜工業系統設備可靠性的提高和維修成本的降低一般都可以用經濟指標來量化,我們認為可以通過評估RCM維修優化后在設備可靠性方面的提高、維修成本方面的降低所取得的經濟效益,來評估維修優化的業績。
2 RCM經濟效益評估內容和分類
RCM分析后,最明顯的變化是,取消了沒有必要的定期預防性維修工作,而增加一些必要的,用于提高設備可靠性的預防性維修工作,從而降低了維修成本。我們可以將經濟效益做如下分類:
2.1 取消項目的經濟效益
首先,在RCM分析后,取消了原來不需要的定期預防性維修項目。取消項目的經濟效益包括人工費用和備件費用。這取消的維修項目有兩類,可分為完全取消和延長維修周期兩部分。
例如,在大亞灣核電站,RCM分析后基本上取消了原來水泵/電動機的定期解體維修,改為狀態監測,當設備狀態異常時,再進行維修。該項目的經濟效益為取消水彩電動機的定期解體維修所節約的人工費用和備件費用。RCM分析后,將原來常規島氣動閥隔膜更換和閥體檢查周期,由原來的5年延長到10年,該項目的經濟效益為延長閥隔膜更換和閥體檢查周期延長所節約的人工費用和備件費用。
2.2 增加項目的經濟效益
RCM分析后新增維修項目預防了原來沒有預防的故障模式,降低了該故障模式發生后出現后果的概率,提高了設備可靠性,即增加項目的經濟效益。由于所預防的故障模式可以細分為顯性和隱蔽性,為便于分析和研究,將增加項目的經濟效益分為增加項目的顯性經濟效益和增加項目的隱性經濟效益。
例如,循環水系統RCM分析時,發現如果水泥管道出現裂紋,滲水長期發展可能會導致管道坍塌,會直接導致機組停機數月;于是增加了對循環水出口水泥管道進行檢查的任務,該項任務帶來的效益就是增加項目的顯性經濟效益。
對于增加項目的隱性經濟效益,由于隱性故障模式的單獨發生,不會導致事故發生,也不能被發現,但增加了多重故障發生的概率;只有當初始事件發生后,才導致多重故障發生。因此,增加項目的隱性經濟性效益,即預防了多重故障發生所取得的效益,這也是核電站領域最重要的RCM效益。
在大亞灣核電站的RCM實踐中,發現了一些重要的沒有被管理的隱蔽性故障模式。如常規島冷卻水系統RCM分析時,發現水箱有高水位報警功能,但從來沒有檢查過。高水位報警功能失效本身不會導致事故的發生,但當出現水箱異常進水(如水箱補水閥補水后卡死在開的位置時)的情況下,如果報警失效,主控室操縱員不知道,不能及時處理,水會從溢流管流到其它設備上有可能造成停機。
RCM分析后,就增加了水箱水位報警檢查,以便預防多重故障的發生。
綜上所述,RCM經濟效益可分三類:
——取消項目的經濟效益;
——增加項目的顯性經濟效益;
——增加項目的隱性經濟效益。
3 取消項目的經濟效益評估模型
3.1 計算方法
取消項目的經濟效益也就是即RCM分析后由于取消或延長了原來預防性維修項目所節約的維修費用(人工和備件費用)。
RCM分析后,取消維修項目所節約維修費用的相對值尺為
R=(T/tb-T/ta)/(T/tb) (1)
=(1-tb/ta)·100%
式中:T電站運行壽命;
tb——RCM分析前的該項目維修周期;
ta——RCM分析后的該項目維修周期。
特別地,當該項目被完全取消時,可以認為ta=∞。那么R=100%
在電站壽命期內,RCM分析后項目取消共節約維修費用的絕對值M為
M=N·C·(T/tb-T/ta)
=N·C·T·(1/tb-1/ta)
式中:N——該類設備數;
C——該設備1次預防性維修費用。
相應地,對于完全取消項目,可以認為ta=∞。那么:
M=N·C·T/tb (3)
3.2 實例分析
3.2.1 完全取消項目實例
在大亞灣核電站,安裝有6臺凝結水泵,RCM分析前,該泵每3年解體檢查一次,RCM分析后取消了該項工作。解體維修人工費用約40000元人民幣,備品備件費用為180000元人民幣。
據公式(3),RCM分析后取消每3年解體檢查泵所取得的經濟效益為2640萬元。
3.2.2 周期延長項目實例
在大亞灣核電站常規島冷卻水系統,安裝有10臺氣動調節閥,用于調節冷卻水流量。RCM分析前,該閥門每5年進行全面解體檢查,更換隔膜。RCM分析后,將解體檢查周期延長到10年。解體檢查閥門人工費用:約5500元人民幣,備品備件費用約為4500元人民幣。
據公式(2),RCM分析后閥門周期從5年延長到10年所取得的經濟效益為60萬元。
與分析前相比,據公式(1),R=50%。
即與分析前相比,維修費用節約了50%,共計節約人民幣60萬元。
4 增加項目顯性的經濟效益評估模型
RCM分析后新增維修項目預防了原來沒有預防的故障模式,如果該故障模式是顯性,那么該效益就是增加項目的顯性經濟性效益。
4.1 計算方法
根據定義,增加項目經濟效益M為
M=E·P·T (4)
式中:E——該故障模式發生后所產生的后果;
P——故障模式發生的概率;
T——電站運行壽命。
E和T的含義比較清楚,也比較容易計算。下面討論如何計算故障模式發生的概率。經研究,有兩種方式來確定故障模式發生的頻率P。
(1)確定論方法
如果在核電站中運行期間,已經出現過該故障模式的潛在故障,或者類似的設備出現過該故障,建議保守地認為在電站運行期間,會出現1次該故障模式。即:P=1/T。
另外,由于該故障模式的后果比較嚴重,發生后一般都會采取糾正措施。因此,我們假設在電站運行期間故障最多發生1次。
例如,循環水系統RCM分析后,增加了對凝氣器出口水泥管道進行檢查的任務。在檢查中發現該管道多處出現缺陷,因此可以認為在電站運行期間,會出現一次該故障模式。又如,壓縮空氣系統氣動隔離閥067VA的隔膜壽命一般是10—15年,會老化破裂。同樣,也認為在電站運行期間,會出現1次該隔膜破裂故障。
(2)概率方法
如果不能用確定論的方法來確認故障模式發生的概率,那么建議用概率數據來確定該故障模式發生的概率。隨著PSA技術在核電站中的廣泛應用,目前各國都對設備失效數據進行了廣泛研究,并得到了很多設備失效數據報告。
4.2 實例分析
循環水系統RCM分析后,增加了對凝氣器出口水泥管道進行檢查的任務。在大亞灣核電站第八次換料大修中,對凝氣器出口管道進行了檢查,發現該管道多處出現缺陷,該缺陷是管道故障的潛在故障點。因此,P=1/T。
該故障模式出現后,會導致機組停運3個月。
大亞灣核電站每臺機組停機1小時損失530000人民幣。
據公式(4),增加該項目的經濟效益為11億元人民幣。
5 增加項目的隱性經濟性效益評估模型
RCM分析后新增維修項目預防了原來沒有預防的故障模式,如果所要預防的故障模式是隱性故障,那么該效益就是增加項目的隱性經濟性效益。由于隱性故障模式的單獨發生,不會導致事故發生,只是沒有被發現,但增加了多重故障發生的概率;只有當初始事件發生后,才導致多重故障發生。因此,增加項目的隱性經濟性效益就是預防了多重故障發生,所取得的效益。這也是核電站領域最重要的RCM效益。
5.1 計算公式
根據定義,增加項目的隱陛經濟性效益M為:M=E·PM·T。
根據多重故障的定義,PM為:PM=PTED·PTIVE。
由此可得,隱性經濟性效益計算公式為
M=E·T·PTED·UTIVE (5)
式中:E——多重故障發生的后果;
T——電站運行壽期;
PTED——初始事件發生的概率,在RCM也稱為被保護(Protected)事件發生的概率;
UTIVE——保護設備不可用度,也就是衡量隱蔽性故障發生后,導致設備不可用的大;
PM——多重故障發生的概率。
公式E、T比較容易計算,下面具體介紹如何計算PTED、UTIVE。
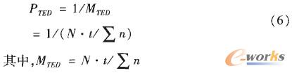
5.1.1 PTED的計算方法
經綜合研究、考察,有兩種方式可以確定PTED。
(1)利用電站統計數據
如果在核電站中已經出現過該故障模式,建議采用該方法。
根據定義,被保護事件發生概率為

式中:MTED——被保護設備平均故障時間,為同類設備故障前運行時間的平均值;
N——某類設備數;
t——統計期間該設備的運行時間;
n——統計期間該設備的故障次數。
例如,據統計,在大亞灣核電站常規島冷卻水系統共有同類型的浮子閥14個,在1998-2000的3年里,失效(內漏)35次。因此,水箱自動補水閥內漏發生的頻率為0.83年。
(2)利用概率數據
如果在運行期間沒有發現過該故障模式,那么建議用概率的數據來確定該故障模式發生的概率。例如在GEC(英國通用電氣公司)報告中,可以直接查到給水管道泄漏發生的概率:PTED:0.1/年。
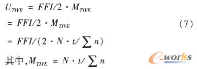
5.1.2 UTIVE的計算方法
根據定義,UTIVE即保護設備不可用度。經研究,有兩種方法計算該UTIVE。
(1)電站統計數據
根據定義,保護設備不可用度UTIVE為

式中:FI——定期試驗時間,如果沒有試驗,則認為FFI為保護設備壽命,一般假定為電站剩余運行時間。
MTIVE——保護設備平均故障時間。
例如,在大亞灣核電站,據統計全廠共有1140個同類型浮子式液位開關,在2000年,共出現14次故障(不報警)。由于該液位開關從來沒有進行過試驗,因此取FFI=電站壽命=60年。因此,設備冷卻水系統水箱浮子式液位開關的U為0.3。
(2)概率比例方法
從公式 (7)
UTIVE=FFI/(2·MTIVE)
可以看出,由于保護設備的不可用度U與定期實驗的周期相關,定期試驗周期越短,U就越小。因此在報告中查到的U不能直接用到經濟效益評估計算中。例如,在大亞灣核電站PSA(Probabilistic Safety Assessment概率安全評估)報告中,查到水位開關U=2.6E-3,它對應的定期實驗周期是1年。而我們要計算的保護設備是沒有進行過定期實驗的設備,因此不能直接引用大亞灣核電站PSA報告中的U=2.6E-3。
考慮到同類設備的可靠性相同,即平均故障時間MTBF相同。所以
Ud1/Ud2=FFI1/FFI2
Ud1=FFI1·Ud2/FFI2 (8)
式中:FFI1——計算的同類保護設備的定期實驗周期;
Ud1——計算的同類保護設備的不可用度;
FFI2——相關報告中查到保護設備的定期實驗周期;
Ud2——相關報告中查到保護設備的不可用度。
特別地,如果該保護設備從來沒有進行過定期試驗,那么可以認為FFI1為電站壽命。
例如:計算大亞灣常規島冷卻水系統水位開關D1/2SRI00I/002SN的U
在大亞灣核電站報告中,查到水位開關U=2.6E-3,據公式(8)得到Ud1=0.15。
和上面公式(7)計算結果UTIVE=0.3數量級一致。
5.2 實例分析
常規島冷卻水系統RCM分析時,發現水箱有高水位報警功能,但從來沒有檢查過。高水位報警功能失效本身不會導致事故的發生,但當出現水箱異常進水(如水箱補水閥補水后卡死在開的位置時)的情況下,如果報警失效,主控室操縱員不知道,不能及時處理,水會從溢流管流到其它設備上有可能造成停機。RCM分析后,就增加了水箱水位報警檢查,以便預防多重故障的發生。
分析得知,PTED是水箱水位異常高的概率,水箱水位升高,一般是由于水箱補水閥自動補水后,不能關閉引起的。UTIVE保護設備是水箱水位高時報警。故障后果是當水箱補水閥卡死在開的位置時,主控室操縱員不知道,不能及時處理,水會從溢流管流到其它設備上有可能造成停機。導致機組停運的可能性是1/10,如果機組停運,需停運24小時,每小時損失530000元人民幣。
據公式(5)~(7)可得:
M=2300萬元人民幣
6 兩種計算方法的比較
在以上計算過程中,關于顯性故障模式發生的概率P,初始發生的概率PTED,保護設備不可用度U,都給出了兩種計算方法。
一般來說,第一種方法來源于本電廠同類型設備實際運行數據,因此比較真實、可靠,但如果樣本太小,可能會導致該數據失真,另外計算量也較大。
第二種方法是來源于相關的失效數據報告,因此比較有代表性,而且計算比較方便,但可能和實際情況有一定的差異。
在實際應用時,如果電廠運行時間比較長,而且積累了一些失效數據,建議采用第一種方法;否則,采用第二種方法。
7 結論
目前,國內在運用維修優化管理,尤其是實施RCM分析過程中,由于需要相當的投入,且沒有一個完整、簡潔方法評估所取得的效益,常遇到很多困難。經過多方考察,收集大量數據,結合大亞灣核電站具體應用結果,作者提出了評估模型,完善了維修優化管理體系。RCM經濟效益評估模型是首次系統、全面、簡單、有效評估核電站維修優化成果的方法;必將促使RCM分析方法在國內電力行業應用,為電力行業提高設備可靠性、降低運行維修成本做出貢獻。
核心關注:拓步ERP系統平臺是覆蓋了眾多的業務領域、行業應用,蘊涵了豐富的ERP管理思想,集成了ERP軟件業務管理理念,功能涉及供應鏈、成本、制造、CRM、HR等眾多業務領域的管理,全面涵蓋了企業關注ERP管理系統的核心領域,是眾多中小企業信息化建設首選的ERP管理軟件信賴品牌。
轉載請注明出處:拓步ERP資訊網http://m.sdyuan.com/
本文標題:以可靠性為中心的維修的經濟效益評估模型
























