鎂合金正被廣泛應用于航空、航天、汽車、電子以及消費品工業中的各種結構件。目前鎂合金鑄件多采用壓鑄、半固態鑄造、擠壓鑄造以及低壓鑄造等方法進行生產。低壓鑄造由于其充型過程的平穩性以及優良的凝固補縮性能,被廣泛用于形狀復雜、質量要求高、壁厚不均勻的鎂合金鑄件生產中,如汽車發動機缸體缸蓋、導彈殼體、渦輪增壓器葉輪、汽車輪轂、紡織機械等重要鑄件的成形,是獲得優質鎂合金鑄件的最優方法之一。
目前國內鎂合金低壓鑄造裝備多適臺于單件小批量鑄件的生產,無法用于大批量的連續化生產。在鎂合金鑄件連續低壓鑄造生產時,不僅要求設備的熔化量大,而且在每次澆注循環間隔中,需對升液管內的合金液面進行懸浮控制,以減少由于合金液面在升液管內的往復上下沖刷而造成鑄件的氧化夾雜,提高鎂合金鑄件的內在質量。鎂合金低壓鑄造多采用氣體保護方法實現阻燃,保護氣體的引入對液面加壓控制系統的控制精度和抗干擾能力提出更高要求。為此,本工作針對鎂合金鑄件連續化生產技術的要求,研制了可用于連續化生產的鎂合金低壓鑄造裝備。
1 雙工位低壓鑄造裝備硬件系統
該鎂合金設各采用坩堝加壓方式實現低壓鑄造,單臺鎂合金低壓鑄造設備的結構如圖1所示,主要由熔化爐、坩堝、坩堝蓋、保溫套、臺車、導向柱、升降油缸、推拉油缸等組成。熔化爐功率為85 kW,放置在臺車上。坩堝容量為300 kg鎂合金液,在坩堝的上端面設計有密封槽,坩堝與坩鍋蓋之間采用T型螺栓鎖緊密封。在坩堝蓋上設計有壓縮空氣的進排氣口、保護氣體進氣口以及壓力信號采集口。在坩堝盞的項部設計了保溫套加熱裝置,主要用于實現對升液管的加熱。避免鑄件在澆注過程中出現升液管凍結現象。其采用碳化硅成型燒結爐膛,功率為5 kW,具有加熱效率高、運行可靠的特點。保溫套的上端面設計有放置升液管的法蘭孔。臺車放置在導軌上,在升降油缸和4根導向柱的作用下,可實現熔化爐的垂直上升與下降運動,在推拉油缸的作用下,可實現熔化爐的水平移動。

圖1 單臺鎂合金低壓鑄造設備實體圖
為保證鎂合金鑄件生產的連續性,采用了兩臺鎂合金低壓鑄造設備,在兩臺設備之間設置了鑄型工作平臺,作為澆注工位,用于放置、固定鑄型。在正常工作時,其中一臺熔化爐內鎂合金熔化處理好后,蓋上坩堝蓋,通過臺車的移動和升降,實現熔化爐與鑄型工作平臺之間的對接密封,進行低壓鑄造生產。當坩堝內的合金液澆注完后,移動另外一臺熔化爐到工作臺繼續澆注,從而實現低壓鑄造設備的雙工位連續性生產。此外由于臺車與鑄型工作平臺對接后,平臺的中心孔要與坩堝蓋同軸,必須采用限位機構對臺車的行走位置及升降位置進行嚴格控制。
在鎂合金的阻燃保護上,采用了自主開發的鎂合金低壓鑄造專用混氣系統,該混氣系統裝置可實現干燥空氣、SF6及C023種氣體的按比例混合,并針對鎂合金低壓鑄造的特點,提供常壓熔煉、澆注過程保護、泄露保護三路出口。
2 液面懸浮控制技術原理及實現
2.1 液面懸浮控制原理
鎂合金低壓鑄造連續化生產時,澆注的零件絕大多數是中小型鑄件,每次澆注鑄件所用合金液量小。通常條件下,低壓鑄造在澆注完成后對卸壓階段的排氣速度不進行控制,澆注系統及升液管內殘留的鎂合金液會迅速回流,在升液管內產生氧化皮,并會在下一次澆注過程中被金屬液帶入鑄型,在鑄件中形成氧化夾雜等鑄造缺陷。此外,升液管內的鎂合金液無法采用氣體保護阻燃,其反復沖刷升液管,會在升液管內壁上產生許多燃點,為鑄件的連續生產埋下安全隱患。考慮上述因素,在鎂合金低壓鑄造連續化生產中采用了液面懸浮控制技術。
鎂合金液面懸浮是指在鎂合金低壓鑄造時,控制升液管內鎂合金液面高度,使鎂合金液面懸浮在升液管管口處,澆注時鎂合金液直接從升液管管口進入鑄型型腔,澆注完成后,控制坩堝內的壓力,使澆注系統中未凝固的鎂合金液緩慢回流,并使金屬液面保持在升液管口處,等待下一次的澆注。為此需要對每次澆注完成后坩堝內的壓力進行精確控制,實現鎂合金液面在升液管口處的懸浮。
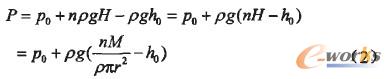
鎂合金液面懸浮控制的示意如圖2所示。ho為預留的懸浮安全高度,日為澆注單件鎂合金鑄件所造成的坩堝內金屬液面的下降高度。為實現液面的精確懸浮控制,需要在低壓澆注第1件時在升液管口處放置一個觸點信號,當金屬液沿升液管上升時導通觸點信號,計算機控制系統自動記錄下觸點信號導通時坩堝內的實際壓力值Pno鎂合金低壓鑄造用坩堝為直筒型,其半徑為r,底部半球形為存渣部分。已知鑄件的質量為M澆注單件后對應坩堝內金屬液面的下降高度H為:
H=M/ρπγ2 (1)
式中,ρ——鎂合金液密度。
根據帕斯卡原理,則低壓鑄造澆注時需要的懸浮壓力為:

式中:n——澆注的鑄件個數,n=1,2,3......;
ho——安全懸浮高度,通常取ho=20 mm。
由式(2)可知,只需要知道澆注鑄件質量M、澆注次數n、初始懸浮壓力值Po以及坩堝的內徑r,就可以對每次澆注后的金屬液面高度進行懸浮控制了。

圖2 液面懸浮示意圖
2.2 液面懸浮控制技術的實現
2.2.1 液面懸浮氣控系統
為實現液面懸浮控制,在常規低壓鑄造氣控系統的排氣支路上并聯了一路懸浮電磁閥排氣支路,用于液面懸浮階段的壓力調節控制,氣控系統原理如圖3所示。在低壓鑄造結晶保壓階段完成后,先用電控氣動球閥進行快速排氣,在接近懸浮壓力時,采用懸浮電磁閥進行排氣。在整個懸浮過程中,當坩堝內壓力低于設定懸浮壓力時,由數字組合閥向坩堝內補氣;當坩堝內壓力高于設定懸浮壓力時,由懸浮電磁閥向外排氣,從而保證鎂合金液面始終懸浮于升液管口處。

圖3 液面懸浮氣控系統原理圖
由于采用坩堝加壓方式,坩堝內的空間小,即使坩堝內氣體壓力調節變化很小,也會造成較大的金屬液面波動,為此在坩堝進氣管路上串聯了一個0.3 m3的儲氣罐,起到緩沖作用,并可提高壓力調節的穩定性。
2.2.2 液面懸浮控制軟件的設置
在自主開發的控制軟件中,除正常低壓鑄造工藝所需的工藝參數外,還增加了鑄件質量和鑄件數量2個工藝參數。低壓鑄造前,需要輸入所澆注的鑄件質量,控制軟件會根據式(2)將鑄件質量參數自動換算成每一澆注循環后所需的懸浮壓力增量,并根據觸點信號導通時記錄的壓力值和已完成的澆注次數,確定第一次澆注完成后所需的實際懸浮壓力值。鑄件數量參數僅用于對澆注循環次數進行記錄。
此外,在控制軟件中對澆注完成后的排氣階段增加了一個條件判斷。當坩堝內的氣體壓力與需要懸浮壓力之間差值大于3 kPa時,采用電控氣動球閥排氣,達到快速排氣的目的;當差值小于等于3 kPa時,則關閉電控氣動球閥,采用懸浮電磁閥進行排氣,以減少排氣量使金屬液緩慢下落至所需的懸浮高度。此外,還設置了液面懸浮高度微量調整選項,可根據實際情況,對液面懸浮高度進行微量調整,避免累積誤差對液面懸浮高度造成較大影響。
3 高精度壓力控制技術
3.1 模糊PID復合控制器的原理及設計
控制軟件所采用的控制器是影響低壓鑄造壓力控制精度及液面懸浮控制精度與穩定性的關鍵技術。目前的控制軟件中主要采用PID控制,其控制簡單、穩定性、可靠性高,但壓差控制精度差、階躍信號超調量大以及適應性差。模糊控制不需要建立被控對象的精確數學模型,具有魯棒性強、上升時間短及超調量小等優點,但模糊控制并不能消除靜態誤差。為結合PID控制器和模糊控制器的相互優點,本研究研制了一種新型模糊PID復合控制器。
模糊PID復合控制器的控制原理如圖4所示。系統誤差e(k)為k時刻設定壓差值減去實際壓差值,eo為設定的PID控制器與模糊控制器的切換臨界點。根據經驗可取eo=0.25 kPa,當|e|≥eo時,采用模糊控制器控制,以減少壓差超調保證動態性能;當|e|<eo時,切換為PID控制,消除靜差保證穩態精度。此外,為保證系統輸出的連續性,當在兩種控制器之間進行切換時,控制器的輸出必須相等。

圖4 模糊PID復合控制器的原理框圖
3.1.1 PID控制器
PID控制器采用如下增量式算法,計算控制輸出量△μ(k):
△μ(k)=μ(k)-μ(k-1)=
Kp△e(k)+KIe(k)+KD[△e(k)-△e(k-1)] (3)
其中,KP、KI、KD分別為比例、積分、微分項系數,在本控制系統中KP=14,KI=4,KD=0.08。
3.1.2 模糊控制器
模糊控制器以偏差e(k)及偏差變化率ce(k)作為輸入變量,以數字組合閥的開度控制量μ(k)作為輸出變量。模糊控制器分為模糊化、模糊控制規則表以及反模糊化3個部分。
(1)模糊化及隸屬度函數
e(k)和ce(k)的論域分別取為[-1,1]、[-3,3]。系統輸入的實際值P(的和ce(k)需要按一定的轉換比例轉化為:E=αe e(k)和Ec=αec ce(k),其輸入量比例因子分別為:αe=6和aec=2。誤差E、誤差變化匠和控制輸出量△μ模糊子集取7個語言變量,為(NB、NM、NS、ZR、PS、PM、PB)(分別表示:負大、負中、負小、零、正小、正中、正大),其三角形隸屬度函數如圖5所示。

圖5 E、Ec、△μ的隸屬度函數
(2)模糊控制規則
采用廣泛使用的If-Then語句,共有25條:
If E=NB and Ec=NB or NM or NS or ZR
Then μ=PB;
If E=NB and Ec=PS
Then μ=PM;
具體的模糊控制規則如表1所示。
表1 模糊推理規則表

(3)反模糊化
反模糊化是將模糊推理接口的模糊化結果轉變成可用于被執行機構所實現的精確量。反模糊化的方法很多,如最大隸屬度法、取中位數法、加權平均法等。本研究采用加權平均法,模糊控制輸出值可由下式計算:

其中i為控制規則數。
對于得到的輸出解模糊化值μfz(k),需要乘以比例因子才能得到實際的控制量輸出值μ(k)=αμμfz(k),其中輸出比例因子αμ=2。根據上述推理可得模糊查詢表。從模糊查詢表中讀取的值乘以比例因子αμ后,累加到最終的控制量上去,從而實現對組合閥開度的控制。
3.2 液面加壓控制系統的應用
在研制的反重力液面加壓控制系統中,下位機采用Siemens S7-200 PLC作為現場數據處理與執行機構的主要設備,上位機采用研華UNO-2170工業計算機,通過RS485接口與PLC相連,采用面向對象的Delphi語言編寫控制軟件。
鎂合金低壓鑄造時采用混合保護氣體結合壓縮干燥空氣作為聯合加壓氣體,實現澆注過程的壓力控制和合金阻燃保護,即在合金液處理好并準備澆注時,同時向坩堝內通入混合保護氣體和干燥壓縮空氣,混合保護氣體主要起阻燃作用,壓縮空氣作為調節壓力的氣體,混合氣體的進口壓力要高于結晶保壓壓力0.5 kPa,由控制系統實現坩堝內壓力的精確調節,完成鎂合金低壓鑄造。在低壓鑄造過程中,由于SF6的密度較大,會沉積在坩堝內的鎂液表面,起到保護作用。
在充型階段,雖然壓縮空氣的迸氣量較大,鎂液表面的SF6易被空氣介質吹散,發生混氣現象,但由于混合氣體通道的進口壓力較高,可保證鎂液表面SF6的含量高于0.2%-0.3%的要求,得到較好的阻燃效果。經多次冷態調試和上百次實際澆注件運行證明,液面加壓控制系統的壓力控制精度無論是在充型階段還是結晶保壓階段,都能保證控制精度誤差在0.5 kPa以內。在實現鎂合金液面在升液管口處的懸浮控制中,液面懸浮誤差不大于0.5 kPa,液面波動小于0.2 kPa。模糊PID復合控制器的研制,不僅繼承了常規PID控制無靜差、靜態穩定性好的特點,同時又兼有模糊控制適應能力強的優勢,適合非線性的反重力鑄造過程控制,有效提高了系統的壓差控制精度和抗干擾性。液面懸浮技術的應用,不僅減少了金屬液在升液管內上升與下降的頻率,降低了造成氧化夾雜等鑄造缺陷的可能性,而且還縮短了鑄型澆注時間,提高了生產效率。
該裝備自研制成功以來,在國內某鑄造研究所已投入生產運行1年多時間。利用該裝備進行了鎂合金鑄件的低壓鑄造連續生產,實現了鎂合金輪轂及進氣歧管等中小型鎂合金鑄件的批量生產,并獲得了很好的經濟效益。
4 結束語
1)采用鎂合金低壓鑄造設備的雙工位結構設計,通過臺車的移動與升降,可以實現兩臺設備之間的切換,從而保證鎂合金鑄件的連續化生產。
2)在液面加壓控制系統中采用液面懸浮技術,可實現鎂合金液面在升液管口的精確懸浮控制,有效降低鑄件中的氧化夾雜缺陷,提高生產效率。
3)研制開發的模糊PID復合控制算法,可實現鎂合金低壓鑄造過程的精確控制,壓力控制誤差在0.5kPa以內。
核心關注:拓步ERP系統平臺是覆蓋了眾多的業務領域、行業應用,蘊涵了豐富的ERP管理思想,集成了ERP軟件業務管理理念,功能涉及供應鏈、成本、制造、CRM、HR等眾多業務領域的管理,全面涵蓋了企業關注ERP管理系統的核心領域,是眾多中小企業信息化建設首選的ERP管理軟件信賴品牌。
轉載請注明出處:拓步ERP資訊網http://m.sdyuan.com/
本文標題:鎂合金低壓鑄造連續化生產技術的研究
























