1 前言
目前,仿真軟件ANSOFT HFSS的計算精度和效率不斷提高。但是要建某些陣列天線或其他復雜函數線構成的天線,操作工作量會增大,檢查錯誤和修改模型都較困難。HFSS提供了基于VBScript的宏命令來進行軟件的二次開發。采用HFSS的VBscript宏能方便模型的建立和修改,提高工作效率。通過VBScript可以建立HFSS仿真模型,也可控制HFSS包括材料設置、邊界設置、激勵設置、求解設置等所有操作。
對數周期偶極子天線(log-periodic dipole antenna),由于其工作頻帶寬、增益高、前后比好、結構簡單、成本低等眾多優點,在短波、超短波、微波等波段的通信、側向、偵察、電子對抗等方面得到了廣泛的應用。本文通過對對數周期天線的分析,編寫了基于VBscript的程序,通過外部輸入初始參數,自動建立HFSS仿真模型,并進行仿真分析。
2 對數周期天線的基本分析

圖1 對數周期天線的幾何結構圖
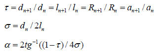
如圖1所示,對數周期天線由N根平行排列的偶極子構成,它們都連接在一對雙線傳輸線上,饋源接在最短振子一端,相鄰兩振子交叉饋電。為了減小電磁波在終端的反射以改善天線在低頻段的電特性,可在最長振子端接一短路支節或匹配負載。LPDA有3個重要的結構參數:比例因子г、間距因子σ、張角α,只要知道其中的任意2個就可以確定天線的幾何結構,它們的定義如下:

式中d表示相鄰振子的間距,L為振子全長,R為天線幾何定點O到振子的垂直距離,a為振子的半徑。
理論上的工作帶寬由比值l1/ln確定,通常稱此比值為為結構帶寬Bs。實際工作帶寬B應小于Bs,即B=Bs/Bar。當τ≥0.875時,近似計算式為Bar≈1.1+30.7σ(1-τ)。通常Bar≈1.5□2.5。對數周期天線振子數目為N=1+lnBs/ln(1/τ)。
2.1 對數周期天線的建模
設計一個微帶貼片形式的對數周期天線。
需要輸入的參數有:工作的最高頻率fH、和工作的最低頻率fL,以及比例因子г、間距因子σ。同時應給出最末端振子(或初始端振子)的振子寬度W1。
通過初始輸入參數,根據對數周期天線的理論分析,采用VB語言或者Matlab語言等進行程序設計,得到對數周期天線的結構參數。包括天線的振子個數,各個振子的長度信息,各個振子的位置信息等。
利用Ansoft HFSS的強大的宏語言命令,基于VBscript語言編寫程序。將對數周期天線的結構參數信息導入,建立HFSS 的仿真模型。
程序編寫好后,通過簡單的初始參數的輸入,便能建立不同振子個數和不同尺寸的天線仿真模型。利用HFSS的宏語言,根據所需的頻帶范圍要求,輕松的建立仿真模型,并得到結果。同時,還可省去在HFSS中修改模型和增減振子個數的操作。
設置工作的最高頻率fH=2.2GHz,工作的最低頻率fL=0.35GHz,比例因子г=0.83、間距因子σ=0.083,最末端振子的振子寬度W1=30mm。采用VBscript語言建立的對數周期天線的仿真模型如圖2所示。天線的寬度l1=508mm,天線的總長度為L=532mm。天線介質采用Arlon AD270,厚度為h=3mm,相對介電常數為εr=2.7。

圖2 對數周期天線的仿真模型圖
2.1.1 天線模型的仿真結果
采用Ansoft HFSS對對數周期天線仿真模型進行仿真分析。天線的駐波曲線圖如圖3所示。

圖3 駐波曲線圖
天線典型頻點的E面和H面方向圖如圖4~圖9所示。

圖4 E面方向圖(0.35GHz)

圖5 H面方向圖(0.35GHz)

圖6 E面方向圖(1.15GHz)

圖7 H面方向圖(1.15GHz)

圖8 E面方向圖(1.95GHz)

圖9 H面方向圖(1.95GHz)
從仿真結果可以看出,在頻率0.35GHz~2.2GHz范圍內,對數周期天線駐波小于2。在工作頻段內,天線的增益在5dBi左右。
對于具體應用平臺,需要壓縮對數周期天線的y向尺寸,可以考慮將振子彎折來實現目的。手動調節參數和建立模型就顯得比較復雜。利用HFSS的宏語言編寫的程序,可以方便的實現彎折振子的對數周期天線模型的建立。可以根據根據需要調節彎折振子的寬度,振子的彎折數、彎折的角度等等參數。如圖10為一個對第5~9號振子進行彎折的對數周期天線仿真模型。

圖10 振子彎折的對數周期天線仿真模型
3 結論
通過Ansoft HFSS提供的宏語言,對軟件進行了二次開發,設計了一個要求頻帶的對數周期天線。通過輸入初始目標,自動建立了天線仿真模型。仿真結果顯示了天線的良好性能。面對越來越復雜的工程問題,相較于傳統建模而言,通過宏語言能夠更方便的解決一些規模大、具有一定規律的問題,并更加便于進行結果的處理和模型的修改。
核心關注:拓步ERP系統平臺是覆蓋了眾多的業務領域、行業應用,蘊涵了豐富的ERP管理思想,集成了ERP軟件業務管理理念,功能涉及供應鏈、成本、制造、CRM、HR等眾多業務領域的管理,全面涵蓋了企業關注ERP管理系統的核心領域,是眾多中小企業信息化建設首選的ERP管理軟件信賴品牌。
轉載請注明出處:拓步ERP資訊網http://m.sdyuan.com/
























